М
Молодежь
К
Компьютеры-и-электроника
Д
Дом-и-сад
С
Стиль-и-уход-за-собой
П
Праздники-и-традиции
Т
Транспорт
П
Путешествия
С
Семейная-жизнь
Ф
Философия-и-религия
Б
Без категории
М
Мир-работы
Х
Хобби-и-рукоделие
И
Искусство-и-развлечения
В
Взаимоотношения
З
Здоровье
К
Кулинария-и-гостеприимство
Ф
Финансы-и-бизнес
П
Питомцы-и-животные
О
Образование
О
Образование-и-коммуникации
Нонс2
Нонс2
21.10.2021 14:46 •  Математика

Материальная точка имеет скорость, которая выражается формулой v = 4t3 + 4t . определить путь, пройденный точкой за 2 секунды от начала движения.

👇
Ответ:
daniilshvanik
daniilshvanik
21.10.2021
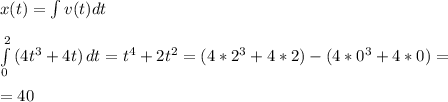
x(t)=\int v(t) dt \\\\ \int\limits^2_0 {(4t^3+4t)} \, dt=t^4+2t^2=(4*2^3+4*2)-(4*0^3+4*0)= \\\\=40
4,4(35 оценок)
Открыть все ответы
Ответ:
dashkastroga
dashkastroga
21.10.2021
Вот смотрите: если в классе десять сто килограммовых девочек и две сорока-килограммовых, то по-вашему получается, что средний вес девочек в классе: (100+40)/2=70 кг? А по-правильному нужно еще учитывать сколько в каждой группе с одинаковым весом всего девочек (вагонов и тд). Если б дело касалось класса, то всех девочек загнали на весы, а потом вес на всех разделили, вот так:
(100*10+80)/(10+2)=1080/12=90 , что больше похоже на истину  в таком "тучном" классе, не правда ли?
Значит, с вагонами решение правильное: (9*8,3+6*7,2)/(9+6)=7,86
4,8(21 оценок)
Ответ:
karinalbi
karinalbi
21.10.2021
Кровь служит для транспортировки питательных веществ из желудка в другие органы и из легких воздух по тканям разносит. мышцы нужны для того, чтобы человек мог совершать движения. сердце служит как насос, который перекачивает кровь, с сердца кровь движется поорганизму. нос служит для дыхания. нужно дышать носом, т.к он препятствует проникновению мимикроьов в органы дыхания. легкие снабжают кровь кислородом. органы пищеварения снабжают кровь питательными ввами. мозг отдает команды организму и обрабатывает инфу. органы чувств нужны чтобы чувствовать боль, а после лечить больной орган. здоровье укрепляют чтобы меньше болеть. чтоб стать красивым и стройным нужно посещать фитнес
4,5(21 оценок)
Это интересно:
Новые ответы от MOGZ: Математика
logo
Вход Регистрация
Что ты хочешь узнать?
Спроси Mozg
Открыть лучший ответ