М
Молодежь
К
Компьютеры-и-электроника
Д
Дом-и-сад
С
Стиль-и-уход-за-собой
П
Праздники-и-традиции
Т
Транспорт
П
Путешествия
С
Семейная-жизнь
Ф
Философия-и-религия
Б
Без категории
М
Мир-работы
Х
Хобби-и-рукоделие
И
Искусство-и-развлечения
В
Взаимоотношения
З
Здоровье
К
Кулинария-и-гостеприимство
Ф
Финансы-и-бизнес
П
Питомцы-и-животные
О
Образование
О
Образование-и-коммуникации
bossmakswell
bossmakswell
25.04.2021 10:49 •  Математика

Выражение и найдите его значение при m=1.6 ( m - стоит посередине дроби) 7/12 m - 1/4 m + 1/2

👇
Ответ:
Alina9392010
Alina9392010
25.04.2021
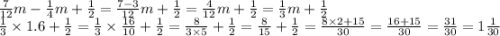
\frac{7}{12} m - \frac{1}{4} m + \frac{1}{2} = \frac{7 - 3}{12} m + \frac{1}{2} = \frac{4}{12} m + \frac{1}{2} = \frac{1}{3} m + \frac{1}{2} \\ \frac{1}{3} \times 1.6 + \frac{1}{2} = \frac{1}{3} \times \frac{16}{10} + \frac{1}{2} = \frac{8}{3 \times 5} + \frac{1}{2} = \frac{8}{15} + \frac{1}{2} = \frac{8 \times 2 + 15}{30} = \frac{16 + 15}{30} = \frac{31}{30} = 1 \frac{1}{30}
расписывала вычисления очень подробно. надеюсь это пригодится
4,8(97 оценок)
Открыть все ответы
Ответ:
kvasik032
kvasik032
25.04.2021

ответ:

1)55% они уже проехали, значит осталось 100-55=45%. мы знаем, что эти 45% =180 км. значит, весь путь (180/45)*100=400 км.

2)для начала, мы найдём число, которое составляет 75% от неизвестного. запишем условие для конечного действия:

х - 75% = 80.

число х в данном случае составляет 100%. отняв 75%, у нас получилось число 80, которое по всей видимости и занимает 25%. теперь, мы можем составить пропорцию:

х - 100%,

80 - 25%.

выразим и найдем х:

х = (80 * 100) / 25 = 320.

теперь от 320 найдем 75% и убедимся, что все данные верны:

320 - 100%,

у - 75%,

у = 320 * 75 / 100 = 240.

проверим условие 100% - 75% = 25%: 320 - 240 = 80.

ответ: начальное число - 320.

пошаговое объяснение:

4,5(31 оценок)
Ответ:
Dhgfhdudv
Dhgfhdudv
25.04.2021
Решим эту задачу арифметически (по пунктах).                                              1) 370 - 250 = 120 (кн.) - получила библиотека за декабрь.                                  2) 370 - 235 = 135 (кн.) - получила библиотека за октябрь.                                  3) 370 - (120+135) = 115 (кн.) - получила библиотека за ноябрь.                        ответ: 120 книг - получила библиотека за октябрь; 115 книг - получила библиотека за ноябрь; 120 книг - получила библиотека за декабрь.                        
4,5(19 оценок)
Новые ответы от MOGZ: Математика
logo
Вход Регистрация
Что ты хочешь узнать?
Спроси Mozg
Открыть лучший ответ