М
Молодежь
К
Компьютеры-и-электроника
Д
Дом-и-сад
С
Стиль-и-уход-за-собой
П
Праздники-и-традиции
Т
Транспорт
П
Путешествия
С
Семейная-жизнь
Ф
Философия-и-религия
Б
Без категории
М
Мир-работы
Х
Хобби-и-рукоделие
И
Искусство-и-развлечения
В
Взаимоотношения
З
Здоровье
К
Кулинария-и-гостеприимство
Ф
Финансы-и-бизнес
П
Питомцы-и-животные
О
Образование
О
Образование-и-коммуникации
MashaTears1
MashaTears1
05.08.2020 22:19 •  Математика

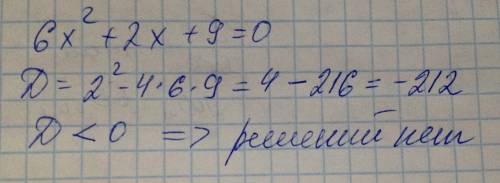
Найдите дискриминант квадратного уравнения 6x^2+2x+9=0

👇
Ответ:
NezNeika
NezNeika
05.08.2020
D = 2^2 - 4*9*6 = -212
4,7(60 оценок)
Ответ:
semic1
semic1
05.08.2020
Предлагаю свое решение на фото

ответ: Д меньше нуля, решений нет.
Найдите дискриминант квадратного уравнения 6x^2+2x+9=0
4,6(65 оценок)
Открыть все ответы
Ответ:
Lololiplolpjvfhsbf
Lololiplolpjvfhsbf
05.08.2020

Внешний угол треугольника равен сумме двух внутренних углов, не смежных с ним.

Пусть один из внутренних углов, не смежных с внешним, имеет градусную меру в х градусов. Тогда второй не смежный угол имеет меру в (х + 10) градусов.

Найдём внешний угол, опираясь на то, что сумма всех углов треугольника равна 180°: 230° - 180° = 50°.

Составим уравнение:

х + (х + 10) = 50

2х + 10 = 50

2х = 40

х = 20

20° + 10° = 30° (второй угол, не смежный с внешним)

180° - 20° - 30° = 130° (третий угол, смежный с внешним)

ответ: 20°, 30° и 130°.

4,8(8 оценок)
Ответ:
karinakazakova5
karinakazakova5
05.08.2020

Внешний угол треугольника равен сумме двух внутренних углов, не смежных с ним.

Пусть один из внутренних углов, не смежных с внешним, имеет градусную меру в х градусов. Тогда второй не смежный угол имеет меру в (х + 10) градусов.

Найдём внешний угол, опираясь на то, что сумма всех углов треугольника равна 180°: 230° - 180° = 50°.

Составим уравнение:

х + (х + 10) = 50

2х + 10 = 50

2х = 40

х = 20

20° + 10° = 30° (второй угол, не смежный с внешним)

180° - 20° - 30° = 130° (третий угол, смежный с внешним)

ответ: 20°, 30° и 130°.

4,7(34 оценок)
Это интересно:
Новые ответы от MOGZ: Математика
logo
Вход Регистрация
Что ты хочешь узнать?
Спроси Mozg
Открыть лучший ответ