М
Молодежь
К
Компьютеры-и-электроника
Д
Дом-и-сад
С
Стиль-и-уход-за-собой
П
Праздники-и-традиции
Т
Транспорт
П
Путешествия
С
Семейная-жизнь
Ф
Философия-и-религия
Б
Без категории
М
Мир-работы
Х
Хобби-и-рукоделие
И
Искусство-и-развлечения
В
Взаимоотношения
З
Здоровье
К
Кулинария-и-гостеприимство
Ф
Финансы-и-бизнес
П
Питомцы-и-животные
О
Образование
О
Образование-и-коммуникации
kostsimonof
kostsimonof
01.03.2023 11:15 •  Математика

X=y^2-4y,x=0,y=3 найти объём тела, образованного вращением фигуры вокруг оси oy

👇
Ответ:
cashpass8754
cashpass8754
01.03.2023
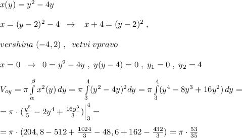
x(y)=y^2-4y\\\\x=(y-2)^2-4\; \; \to \; \; \; x+4=(y-2)^2\; ,\\\\vershina\; (-4,2)\; ,\; \; vetvi\; vpravo\\\\x=0\; \; \to \; \; 0=y^2-4y\; ,\; y(y-4)=0\; ,\; y_1=0\; ,\; y_2=4\\\\V_{oy}=\pi \int \limits _{ \alpha }^{ \beta }x^2(y)\, dy=\pi \int \limits _{3}^4(y^2-4y)^2dy=\pi \int\limits^4_3(y^4-8y^3+16y^2)\, dy=\\\\=\pi \cdot (\frac{y^5}{5}-2y^4+\frac{16y^3}{3} )\Big |^4_3=\\\\=\pi \cdot (204,8-512+\frac{1024}{3}-48,6+162-\frac{432}{3})=\pi \cdot \frac{53}{35}

X=y^2-4y,x=0,y=3 найти объём тела, образованного вращением фигуры вокруг оси oy
4,5(79 оценок)
Открыть все ответы
Ответ:
vlastovskii
vlastovskii
01.03.2023
Так как 26 делится на 3 только с остатком, то разделим число, которое делится на 3, то есть 24.

\displaystyle 24:3=8 разрезов.

То есть 2 батона разрезали на 9 кусков, сделав 8 разрезов для каждого. А 3 - ий батон разрезали на 8 кусков, сделав 7 разрезов, чтобы проверить 8 кусков ли понадобится для 3 - го мы к 9 - ти кускам прибавим 9 кусков (куски 1 - го и 2 - го батона) и получим 18 кусков. Дальше мы из 26 кусков и вычтем эти 18 кусков, получив 8 кусков.

\displaystyle 9+9=18 кусков.

\displaystyle 26-18=8 кусков.

Тем самым мы доказали, что у 3 - го батона всего 8 кусков, значит и 7 разрезов.

Дальше осталось узнать сколько всего разрезов было сделано.

8*2+7=23 разреза.

ответ: \displaystyle 23 разреза.

                                     Только решение и ответ.

1). 24:3=8 (р.) - понадобится для каждого из 2 - ух батонов.
8 разрезов = 9 кусков.
2). \displaystyle 9 + 9 = 18 (к.) - всего у 2 - ух батонов.
3). \displaystyle 26 - 18 = 8 (к.) - у 3 - го батона.
\displaystyle 8 кусков = \displaystyle 7 разрезов.
4). \displaystyle 8*2+7 (р.) - всего.

ответ: \displaystyle 23 разреза
4,4(33 оценок)
Ответ:
sdx2312
sdx2312
01.03.2023
1)
В двоичной не преставим, так как есть число 6
далее идёт 8-ми ричная система.
66+12=60+6+10+2=70+6+2=100 ( так как 8 в восьмеричной системе, как 10 в десятиричной.)
ответ: 8-миричная система

2) Так как разница была 11, то получается, что 11+34=100
В итоге получаем 5-рияную систему. Так как 30+4+10+1=40+4+1=100 ( тут 5 как 10 в десятиричной)
ответ: 5-ричная система.

3) Так как последнее число заканчивается на 2 (6+6=12), то первый пример 10-я система
второй пример в 9-ой системе 6+6=6+3+3=10+3=13, заканчивается на 3, как и 763 (максимальное число 9 будет переходить автоматически в 10)
третий пример в 8-ной системе, 6+6=6+2+2+2=10+4=14, заканчивается на 4, как и 774 (максимальное число 8, будет переходить автоматически в 10)
Четвёртый в 12-ной системе, так как 6+6=В=10, заканчивается на 0, как и 730 (максимальное число В (12), будет автоматически переходить в 10)
4,4(48 оценок)
Это интересно:
Новые ответы от MOGZ: Математика
logo
Вход Регистрация
Что ты хочешь узнать?
Спроси Mozg
Открыть лучший ответ