М
Молодежь
К
Компьютеры-и-электроника
Д
Дом-и-сад
С
Стиль-и-уход-за-собой
П
Праздники-и-традиции
Т
Транспорт
П
Путешествия
С
Семейная-жизнь
Ф
Философия-и-религия
Б
Без категории
М
Мир-работы
Х
Хобби-и-рукоделие
И
Искусство-и-развлечения
В
Взаимоотношения
З
Здоровье
К
Кулинария-и-гостеприимство
Ф
Финансы-и-бизнес
П
Питомцы-и-животные
О
Образование
О
Образование-и-коммуникации
Like2942
Like2942
11.01.2020 06:07 •  Математика

Вычислите площадь круга длина которого 18см

👇
Ответ:
NataliaKotic
NataliaKotic
11.01.2020
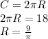
S= \pi R^{2}
C=2 \pi R \\2 \pi R=18 \\R= \frac{9}{ \pi }

S= \pi *( \frac{9}{ \pi } )^{2} = \frac{81}{ \pi }
S=81/3.14=25.8/ приблизительно/
4,6(95 оценок)
Открыть все ответы
Ответ:
kilmetovalmas14
kilmetovalmas14
11.01.2020

Відповідь:

Покрокове пояснення:

1) d = r + 8

  d = 2r

  2r = r + 8

  r = 8

  l = 2πr = 16π ≈50,24 см

2) l = 2πr

   r = l / 2π

   r1 = 2/2π = 1/π ≈ 0,32 см

   r2 = 5/2π = 2,5/π≈0,8 см

   r3 = 3,14/π ≈ 1 см

   r4 = 4 * 3,14^{2}/π≈4 * 3,14 = 12,56 см

3) l1 = 2πr * 1 / 360 = πr/180 ≈ 0,1 см

   l2= 2πr * 15/360 = 2πr/24 = πr/12 ≈1,57 см

   l3 = 2πr * 120/360 = 2πr/3 ≈12,56 см

   l4 = 2πr * 270/360 = πr * 3 / 2 ≈28,26 см

   l5 = 2πr * 330/360 = πr * 11 / 6 = 34,54 см

4) l = 2πr * 18 / 360 = πr/10 = 15

   r = 150/π ≈ 47,8°

5)  l = 2πr * α / 360 = πr * α / 180

α = 180 * l / πr ≈ 12 см

4,7(29 оценок)
Ответ:
роlinka2003
роlinka2003
11.01.2020

Периметр - это сумма длин сторон всей фигуры. Периметр исчисляется по формуле P = 2 ( a + b) , где a - длина, b - ширина. Но это периметр прямоугольника, у которого равны только 2 стороны попарно. Периметр квадрата вычисляется аналогично, но запомни, что у квадрата все стороны равны, поэтому формула следующая P = 4a.

Теперь о площади. Площадь - это численная характеристика двумерной  геометрической фигуры, как например квадрата или прямоугольника. Площадь находится по формуле у прямоугольника

P = a * b, длина умножается на ширину. Для того, чтобы найти площадь квадрата, надо длину возвести в квадрат, или во вторую степень, P = a^2. Если что-то не понял, напиши в комментариях.

4,6(15 оценок)
Новые ответы от MOGZ: Математика
logo
Вход Регистрация
Что ты хочешь узнать?
Спроси Mozg
Открыть лучший ответ