М
Молодежь
К
Компьютеры-и-электроника
Д
Дом-и-сад
С
Стиль-и-уход-за-собой
П
Праздники-и-традиции
Т
Транспорт
П
Путешествия
С
Семейная-жизнь
Ф
Философия-и-религия
Б
Без категории
М
Мир-работы
Х
Хобби-и-рукоделие
И
Искусство-и-развлечения
В
Взаимоотношения
З
Здоровье
К
Кулинария-и-гостеприимство
Ф
Финансы-и-бизнес
П
Питомцы-и-животные
О
Образование
О
Образование-и-коммуникации
mollayevadinara
mollayevadinara
27.03.2023 16:34 •  Математика

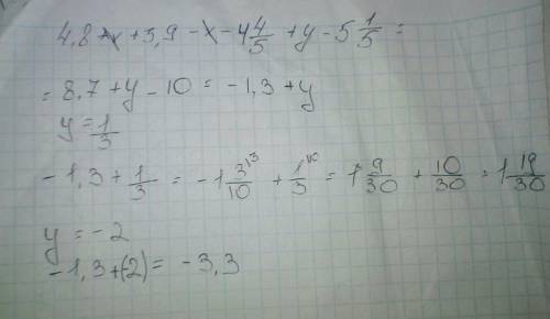
Выражение: 4,8+х+3,9-х-4 4/5+у-5 1/5 и найдите его значение при у= 1/3 и у=-2

👇
Ответ:
vikkkki1
vikkkki1
27.03.2023
Крч смотри
вот так должно получиться
Выражение: 4,8+х+3,9-х-4 4/5+у-5 1/5 и найдите его значение при у= 1/3 и у=-2
4,8(38 оценок)
Открыть все ответы
Ответ:
55964643
55964643
27.03.2023

В1. Решите уравнение: 21,3 – у = 9,7.

21,3 – у = 9,7

у = 21,3-9,7

у = 11,6

ответ: 11,6.

В2. Вычислите: 11 целых 2 девятых - ( 2 целых четыре девятых + 5 целых 8 девятых)

11 2\9 - (2 4\9 + 5 8\9) = 101\9 - (22\9 + 53\9) = 101\9 - 75\9 = 26\9

ответ: 26\9

В3. Сад прямоугольной формы имеет длину 40 м и ширину 30м. Сливы занимаю 5/12 сада. Какова площадь участка сада, засаженного сливами?

Сад имеет форму прямоугольника длина которого 40м, ширина 30м

Площадь прямоугольника S=a*b=30*40=1200 м²

Сливы занимают ⁵/₁₂ частей площади сада

Значит площадь нужно разделить на 12 частей и взять 5 таких части

1200:12*5=500 м²

ответ: Площадь занимаемая сливами 500 м².

С1. Миша шёл из одного села в другое 0,7 ч по полю и 0,9 ч через лес, пройдя всего 5,31 км. С какой скоростью шёл Миша через лес, если по полю он двигался со скоростью 4,5 км/ч?

1) 4,5*0,7=3,15(км по полю                                                                   2) 5,31-3,15=2,16(км через лес                                                             3) 2,16:0,9=2,4(км/час) скорость Миши через лес                            

ответ: Миша шел по лесу со скоростью 2,4 км/ч.

С2* Найдите все натуральные значения а, при которых обе дроби a/5 и 9/a одновременно будут неправильными.

Неправильные дроби: 5/5 и 9/5; 6/5 и 9/6; 7/5 и 9/7; 8/5 и 9/8; 9/5 и 9/9.

ответ: а = 5, 6, 7, 8, 9

 

4,5(55 оценок)
Ответ:
9uh9ev2
9uh9ev2
27.03.2023

42

Пошаговое объяснение:

1) найдем, сколько денег Петя потратил в первый день

тогда обратим внимание на дробь 3/10

в знаменателе 10, тогда 150 рублей- это 10 частей

150/10=15(рую) 1 часть

2) найдем 3 части   15*3=45(руб) - Петя потратил в первый день

3)найдем, сколько денег потратил Петя во второй день,

тогда обратим внимание на дробь 5/7 сейчас нам нужно найти

7 частей, тк 5 частей нам уже известны

для этого 45/5=9(руб) в одной части

4) найдем 7 частей    9*7=63(руб) Петя потратил вл второй день

5)найдем, сколько денег осталось у Пети. для этого из всех денег вычтем то, что он потратил

150 - 45 - 63 = 42(руб)

4,7(39 оценок)
Это интересно:
Новые ответы от MOGZ: Математика
Полный доступ к MOGZ
Живи умнее Безлимитный доступ к MOGZ Оформи подписку
logo
Вход Регистрация
Что ты хочешь узнать?
Спроси Mozg
Открыть лучший ответ