М
Молодежь
К
Компьютеры-и-электроника
Д
Дом-и-сад
С
Стиль-и-уход-за-собой
П
Праздники-и-традиции
Т
Транспорт
П
Путешествия
С
Семейная-жизнь
Ф
Философия-и-религия
Б
Без категории
М
Мир-работы
Х
Хобби-и-рукоделие
И
Искусство-и-развлечения
В
Взаимоотношения
З
Здоровье
К
Кулинария-и-гостеприимство
Ф
Финансы-и-бизнес
П
Питомцы-и-животные
О
Образование
О
Образование-и-коммуникации
winchester24
winchester24
20.08.2020 11:57 •  Математика

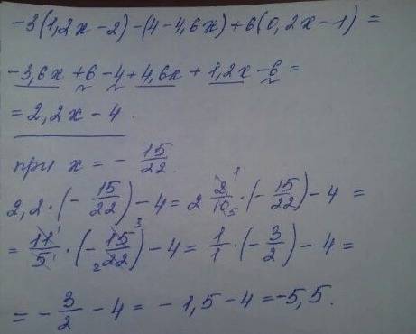
Вырожение -3(1,2x--4,6x)+6(0,2x-1)и вычислите его значение при x=-15\22

👇
Ответ:
savannah1
savannah1
20.08.2020
Там все просто, упрощаешь выражение, затем в полученное вместо х подставляешь известное значение
Вырожение -3(1,2x--4,6x)+6(0,2x-1)и вычислите его значение при x=-15\22
4,5(91 оценок)
Открыть все ответы
Ответ:
lenusya007
lenusya007
20.08.2020
Наука не ограничивается накоплением знаний, но стремится всегда к их упорядочению и обобщению в научных гипотезах. С.Н. Булгаков Я считаю, что наука – это сильное оружие в руках человека. И суть его в абсолютно достоверных словах Булгакова С.Н. Одних знаний недостаточно. Как написано в Библии: «Знания надмевают, а мудрость назидает.» Не имеет значение, какую мы разбираем сферу. Любая наука ставит перед собой цель, как можно тщательнее исследовать определенный предмет или явление. В этом нам различные методы, такие как анализ, синтез, сравнение и другие. Если мы не будем работать над полученной информацией, то она так и останется сырым материалом без какой-либо пользы для общества и нашего познания мира. А чтобы докопаться до истины, нам просто необходимо расставить все на свои места, выделить основные
i
4,5(57 оценок)
Ответ:
Fenef
Fenef
20.08.2020

ответ:

пошаговое объяснение:

  вроде правильно посчитала.

1) 60/(4/3)=60*3/4=45 ударов за 1 минуту 1 колокола;

2) 60/(5/3)=60+3/5=36 ударов за 1 минуту 2 колокола;

3)60/2=30 ударов за 1 минуту 3 колокола.

каждые 3 секунды удары первого колокола будут совпадать с ударами 3 колокола.

значит 45*2/3=30 ударов первого колокола, не совпавших с третьим.

так же каждые 3 секунды удары второго колокола будут совпадать с ударами 3 колокола. 

значит 36*2/3=24 ударов второго колокола, не совпавших с третьим. 

несколько ударов первого и второго колокола тоже будут совпадать. (каждые 5 тактов первого и каждые 4 такта второго). но 3 из них уже   совпадали с тактами 3 колокола. 

итого: 30+24+30-6=78 .

4,4(80 оценок)
Это интересно:
Новые ответы от MOGZ: Математика
logo
Вход Регистрация
Что ты хочешь узнать?
Спроси Mozg
Открыть лучший ответ