М
Молодежь
К
Компьютеры-и-электроника
Д
Дом-и-сад
С
Стиль-и-уход-за-собой
П
Праздники-и-традиции
Т
Транспорт
П
Путешествия
С
Семейная-жизнь
Ф
Философия-и-религия
Б
Без категории
М
Мир-работы
Х
Хобби-и-рукоделие
И
Искусство-и-развлечения
В
Взаимоотношения
З
Здоровье
К
Кулинария-и-гостеприимство
Ф
Финансы-и-бизнес
П
Питомцы-и-животные
О
Образование
О
Образование-и-коммуникации
teorem
teorem
04.01.2021 00:29 •  Математика

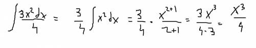
F(x)=3x^2/4 найти одну первообразную

👇
Ответ:
Mognolia
Mognolia
04.01.2021
Первообразная:X^3/4+c
4,6(61 оценок)
Ответ:
pollvasiltv
pollvasiltv
04.01.2021
---------------------------------
F(x)=3x^2/4 найти одну первообразную
4,6(51 оценок)
Открыть все ответы
Ответ:
Arra1234566
Arra1234566
04.01.2021
1) -3,2х + 4,8 = -2(1,2х +2,4)                                                                         -3,2х + 4,8 = -2,4х -4,8                                                                                 4,8 + 4,8 = 3,2х - 2,4х                                                                                     9,6 = 0,8х                                                                                                    х = 9,6: 0,8                                                                                                    х = 12.                                                                                                                                                                                                 
4,8(74 оценок)
Ответ:
pomogiplizplizpliz
pomogiplizplizpliz
04.01.2021
Если бы я была волшебницей, я бы все хорошие и добрые мечты превратила в реальность. Я бы сделала детей счастливыми, чтобы у всех были мамы и папы. Каждая семья была бы крепкая, дружная, и они бы жили всегда вместе и никогда не растовались. Благодаря моим волшебным силам, попробовала бы сделать мир во всём мире, чтобы больше никогда не было войны, и люди уважали и ценили друг друга.  Благодаря моему волшебству я бы сделала уроки интересней. На уроке географии мы бы путешествовали по миру. А на уроке художественное воспитание (рисование) нам урок рассказывали сами художники. Свои произведения, на уроке литературы, поясняли поэты или писатели. Тогда бы уроки стали интересней. Ну, а самое главное я сделала так, чтобы была справедливость! Еще сделала бы много добрых дел, например: пожертвовала бы для нищих и малоимущих, потому что пожертвование-это нравственная норма отдать часть того, сто имеешь.  Вот что бы я сделала, если бы имела волшебные силы!
4,8(29 оценок)
Это интересно:
Новые ответы от MOGZ: Математика
Полный доступ к MOGZ
Живи умнее Безлимитный доступ к MOGZ Оформи подписку
logo
Вход Регистрация
Что ты хочешь узнать?
Спроси Mozg
Открыть лучший ответ