Если первый день это X, то тогда второй день будет X-200
1. x+(x-200)=550
2. 2x=550+200
3. 2x=750
4. x=750:2
5. x=375 ( Сколько продали килограмм картошки в первый день )
6. 375-200=175 ( Сколько продали килограмм во второй день )
Пошаговое объяснение:
1. Сколько всего за 2 дня продали картошки
2. Складываем известное и не известное в разные стороны( по скольку -200 мы перенесли через знак "=", мы меняем его знак с - на + )
4. Узнаем сколько продали кг. картошки в первый день
5. Кг. картошки которую продали в первый день
6. Кг картошки которую продали во второй день
ответ:
пошаговое объяснение:
5м(конфет)+3м(орехов)=2,15 кг;
2m(конфет)+2м(орехов)=1,1 кг;
во втором за скобки выносим 2 :
2(m(конфет)+м(орехов))=1,1 кг; отсюда получаем
m(конфет)+м(орехов)=1,1 кг/2=0,55
далее решаем систему -
_ 5м(конфет)+3м(орехов)=2,15 кг,
2m(конфет)+2м(орехов)=1,1 кг;
отсюда:
_ 3м(конфет)+м(орехов)=1,05 кг,
м(конфет)+м(орехов)=0,55 кг,
получаем 2м(конфет)=0,5 кг, м(конфет)=0,25кг ,
подставим в m(конфет)+м(орехов)=0,55кг ,получим м(орехов)=0,3кг.
ответ: м(конфет)=0,25кг,
м(орехов)=0,3кг.
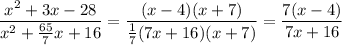
Разложим числитель
Значит, x = 4 и x = -7 - корни многочлена
и при этом остаток от деления многочлена на двучлен равен нулю. Подставив x = 4 и x = -7, получим
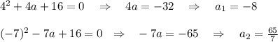
Сумма значений a:
Для а = -8:
Для a = -65/7: