М
Молодежь
К
Компьютеры-и-электроника
Д
Дом-и-сад
С
Стиль-и-уход-за-собой
П
Праздники-и-традиции
Т
Транспорт
П
Путешествия
С
Семейная-жизнь
Ф
Философия-и-религия
Б
Без категории
М
Мир-работы
Х
Хобби-и-рукоделие
И
Искусство-и-развлечения
В
Взаимоотношения
З
Здоровье
К
Кулинария-и-гостеприимство
Ф
Финансы-и-бизнес
П
Питомцы-и-животные
О
Образование
О
Образование-и-коммуникации
его18
его18
29.04.2020 09:52 •  Математика

Найдите наибольшее и наименьшее значения выражения sin x-√3 cos x

👇
Ответ:
Мунира1306
Мунира1306
29.04.2020
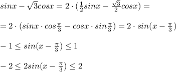
sinx-\sqrt3cosx=2\cdot (\frac{1}{2}sinx-\frac{\sqrt3}{2}cosx)=\\\\=2\cdot (sinx\cdot cos\frac{\pi }{3}-cosx\cdot sin\frac{\pi }{3})=2\cdot sin(x-\frac{\pi }{3})\\\\-1 \leq sin(x-\frac{\pi}{3}) \leq 1\\\\-2 \leq 2sin(x-\frac{\pi }{3}) \leq 2
4,5(96 оценок)
Открыть все ответы
Ответ:
dhkbzdyjnxx
dhkbzdyjnxx
29.04.2020
Задача 1 
В классе 24 ученика, из них 16 мальчиков. Какую часть всех учеников класса составляют мальчики?
1) 16 : 24 = 16/24 = 2/3 составляют мальчики от всех учеников в классе

Задача 2
К отправке в магазины готовы 200 автомобилей, из них 1/5 - автомобили красного цвета. Сколько машин красного цвета готовы к отправке?
1) 200 * 1/5  = 40 машин красного цвета готовы к отправке

Задача 3
Две трети учащихся  начальной школы занимается после уроков  в различных  кружках. Сколько детей учится в начальной школе, если в кружках занимаются  38 человек?
1)  38 : 2/3 = 38 * 3/2 = 57 чел учатся в начальной школе
4,7(66 оценок)
Ответ:
brikabrakenerge
brikabrakenerge
29.04.2020
Нужно черешни 3 кг;
есть гири:
а) 5кг 1 шт;
    2 кг 1 шт;
б)  2 кг 1 шт.
Решение. 
а) 5 - 2 = 3   разница в  массе гирь равна нужной массе черешни. Поэтому их нужно поставить на разные чашки весов и досыпать в чашку с гирей меньшей массы черешню до уравновешивания чашек:
5 = 2 + 3, где 5 и 2 -массы гирь,кг, а  3 (кг) - масса черешни.
Проверка:  на одной чашке гиря 5 кг, на другой гиря 2 кг и 3 кг черешни. 5=5, 
б)  3 - 2 = 1 (кг)   нам  не хватает, чтобы взвесить 3 кг черешни гирей массой 2 кг, но мы можем первым действием взвесить 2кг черешни, вторым действием убрав гирю, развесить 2 кг черешни по кг, а третьим - вернуть гирю 2кг на одну чашку, а на вторую - равную ей по массе черешню, и получим, наконец, 3 кг:
1) 2  = 2   взвесили 2 кг черешни;
2) 2 : 2 = 1  разложили черешню поровну на обе чашки весов, убрав гирю
3) 1 + 2 = 1 + 2  на одну чашку весов добавили гирю, на другую черешню, 
4) 2 +1 = 3 (кг) на каждой чашке, 
Проверка: на одной - нужные нам 3кг черешни, на другой - 1 кг черешни и гиря 2 кг. 3=3
4,5(54 оценок)
Это интересно:
Новые ответы от MOGZ: Математика
logo
Вход Регистрация
Что ты хочешь узнать?
Спроси Mozg
Открыть лучший ответ