М
Молодежь
К
Компьютеры-и-электроника
Д
Дом-и-сад
С
Стиль-и-уход-за-собой
П
Праздники-и-традиции
Т
Транспорт
П
Путешествия
С
Семейная-жизнь
Ф
Философия-и-религия
Б
Без категории
М
Мир-работы
Х
Хобби-и-рукоделие
И
Искусство-и-развлечения
В
Взаимоотношения
З
Здоровье
К
Кулинария-и-гостеприимство
Ф
Финансы-и-бизнес
П
Питомцы-и-животные
О
Образование
О
Образование-и-коммуникации
MischaO
MischaO
08.08.2020 03:56 •  Математика

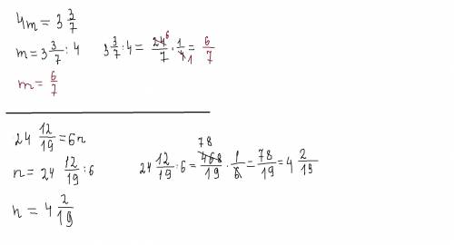
Как решить эти уравнения? 4m= 3 3/7 и 24 12/19=6n да. 20 б

👇
Ответ:
Alex90111
Alex90111
08.08.2020
Смотри решение внизу

Как решить эти уравнения? 4m= 3 3/7 и 24 12/19=6n да. 20 б
4,4(27 оценок)
Открыть все ответы
Ответ:
DianaHreseva
DianaHreseva
08.08.2020
Чтобы представить число 280, используя число 350, нужно выполнить последовательность следующих действий:

Шаг 1: Разобъем число 280 на цифры:
280 = 2 * 100 + 8 * 10 + 0 * 1.

Шаг 2: Разобьем число 350 на цифры:
350 = 3 * 100 + 5 * 10 + 0 * 1.

Шаг 3: Заменим в разложении числа 350 цифры, умножаемые на 100 и 10 на аналогичные цифры из разложения числа 280:
280 = 2 * 100 + 8 * 10 + 0 * 1.

Шаг 4: Заменим первую цифру в разложении числа 350 на аналогичную цифру из разложения числа 280:
280 = 2 * 100 + 8 * 10 + 0 * 1.

Шаг 5: Выразим число 280 через число 350:
280 = 2 * 100 + 8 * 10 + 0 * 1.

Итак, можно представить число 280 с использованием числа 350 таким образом: 280 = 2 * 100 + 8 * 10 + 0 * 1.

Обоснование: Мы использовали разложение по разрядам (сотни, десятки, единицы) и последовательность арифметических операций (умножение) для того, чтобы представить число 280 через число 350.
4,5(1 оценок)
Ответ:
tsokurdmitriy
tsokurdmitriy
08.08.2020
Хорошо, давайте разберемся с этим вопросом!

Для начала, чтобы найти значение производной функции f(x) = x(-x/2-1) в точке x0 = 1, нам потребуется использовать основное определение производной функции.

Итак, основное определение производной гласит, что производная функции f(x) в точке x0 равна пределу отношения изменения функции к изменению аргумента, когда аргумент стремится к x0. Формула для основного определения производной выглядит следующим образом:

f'(x0) = lim(h→0) [f(x0 + h) - f(x0)] / h,

где h - некоторое изменение аргумента.

Применяя формулу основного определения производной к нашей функции f(x) = x(-x/2-1), мы получаем:

f'(1) = lim(h→0) [f(1 + h) - f(1)] / h.

Теперь давайте выполним подстановку значений:

f(1 + h) = (1 + h)(- (1 + h)/2 - 1) = (1 + h)(-1/2 - h/2 - 1) = (1 + h)(-3/2 - h/2),

f(1) = 1(-1/2 - 1) = -3/2.

Подставив полученные значения в формулу основного определения производной, получим:

f'(1) = lim(h→0) [(1 + h)(-3/2 - h/2) - (-3/2)] / h.

Сначала раскроем скобки в числителе:

(1 + h)(-3/2 - h/2) = -3/2 - 3h/2 - h/2 - h^2/2 = -3/2 - 4h/2 - h^2/2 = -3/2 - 2h - h^2/2.

Подставим полученное выражение в формулу производной:

f'(1) = lim(h→0) [-3/2 - 2h - h^2/2 - (-3/2)] / h.

Теперь упростим числитель:

[-3/2 - 2h - h^2/2 - (-3/2)] = -3/2 + 3/2 + 2h - h^2/2 = 2h - h^2/2.

Подставим полученное выражение в формулу производной:

f'(1) = lim(h→0) [2h - h^2/2] / h.

Теперь упростим дробь:

[2h - h^2/2] / h = 2 - h/2.

Подставляем полученное выражение обратно в формулу производной:

f'(1) = lim(h→0) 2 - h/2.

Осталось лишь вычислить предел. При подстановке h=0, значение всего выражения будет равно:

f'(1) = 2 - 0/2 = 2.

Таким образом, мы получили, что значение производной функции f(x) = x(-x/2-1) в точке x0 = 1 равно 2.

Надеюсь, что мой подробный ответ помог вам понять, как найти значение производной функции в заданной точке при использовании основного определения производной. Если у вас есть еще вопросы, пожалуйста, не стесняйтесь задавать!
4,6(18 оценок)
Это интересно:
Новые ответы от MOGZ: Математика
logo
Вход Регистрация
Что ты хочешь узнать?
Спроси Mozg
Открыть лучший ответ