М
Молодежь
К
Компьютеры-и-электроника
Д
Дом-и-сад
С
Стиль-и-уход-за-собой
П
Праздники-и-традиции
Т
Транспорт
П
Путешествия
С
Семейная-жизнь
Ф
Философия-и-религия
Б
Без категории
М
Мир-работы
Х
Хобби-и-рукоделие
И
Искусство-и-развлечения
В
Взаимоотношения
З
Здоровье
К
Кулинария-и-гостеприимство
Ф
Финансы-и-бизнес
П
Питомцы-и-животные
О
Образование
О
Образование-и-коммуникации
ksp86450
ksp86450
05.05.2022 07:16 •  Математика

Help me! hайдите первый член и разность арифметической прогрессии с общим членом а"n",если известно,что: а) а"2"=3; а"4"=6 б) а"5"=-2; а"9"=8 help !

👇
Ответ:
vova11112
vova11112
05.05.2022
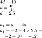
a) \\ a_{2} = 3 \\ a_{4} = 6 \\ a_{3} = \frac{a_{2} +a_{4}}{2} \\ a_{3} = \frac{3 + 6 }{2} = 4.5\\ \\ d = a_{3} - a_{2} \\ d= 4.5 - 3 = 1.5 \\ \\ a_{1} = a_{2} - d \\ a_{1} =3 - 1.5 = 1.5
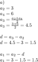
b) \\ a_{5} = - 2 \\ a_{9} =8 \\ \\ a_{5} = a_{1} + 4d \\ a_{9} = a_{1} + 8d \\ \\ a_{1} + 4d = - 2\\ a_{1} + 8d = 8
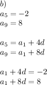
Из второго уравнения вычитаем первое, получим:

4d = 10 \\ d = \frac{10}{4} \\ d = 2.5 \\ \\ a_{1} = a_{5} - 4d \\ a_{1} = - 2 - 4 \times 2.5 = \\ = - 2 - 10 = - 12
4,7(6 оценок)
Открыть все ответы
Ответ:
karkarich68
karkarich68
05.05.2022

Наливаем 11 литров, выливаем в 8 литровое, получаем 3 литра в 11литровом ведре. выливаем эти 3 литра в пустое 8литрое, затем снова набираем полное 11литровое и выливаем воду в 8литрое, получаем в 11литровом 6 литров воды. Затем снова выливаем воду из 8литрового, из 11литрового выливаем 6 литров в 8литровое, набираем полное 11литровое выливаем воду в 8литровое получаем в 11литровом 9  литров воды, выливаем ее в 8литровое, получаем в 11литровом 1 литр воды, выливаем его в пустое 8литровое, затем набираем полное 11литровое, выливаем воду в 8литровое с 1литром воды внутри, получаем в 11 литровом 4 литра воды.

4,7(63 оценок)
Ответ:
black93
black93
05.05.2022

Забруднення довкілля — процес зміни складу і властивостей однієї або декількох сфер Землі внаслідок діяльності людини. Приводить до погіршення якості атмосфери, гідросфери, літосфери та біосфери. Допустима міра забруднення довкілля в різних країнах регламентується відповідними стандартами, нормативами, законами. Розрізняють забруднення отруйні, хвороботворні, хімічні, механічні і теплові.

Зміст  [сховати] 1Забруднення довкілля при гірничих роботах2Природне забруднення довкілля3Див. також4Література5ПосиланняЗабруднення довкілля при гірничих роботах[ред. • ред. код]

У процесі видобування корисних копалин відбувається істотне забруднення довкілля. З кожної тонни видобутої корисної копалини тільки 1-3% перетворюються в корисну продукцію, а 98% йдуть у відходи. За обсягами викидів забруднюючих речовин і за ступенем впливу їх на природне середовище гірничодобувна промисловість стоїть на 4-му місці після хімічної, металургійної і сільського господарства. При підземному видобутку відбувається забруднення атмосфери пилом, отруйними газами, вуглекислим газом, метаном, поліциклічними ароматичними вуглеводнями, сірчистими газами, сірководнем, теплом, підземними водами, радіоактивними породами тощо. При відкритих гірничих робіт довкілля забруднюється оксидом вуглецю, двоокисом азоту, пилом, кар'єрними водами, породами. Зокрема під час вибухових робіт на кар'єрах світу за рік утворюється пило-газова хмара об'ємом 15-20 млн м³, що підіймається на висоту до 1500–1700 м, де повітряна течія розсіює і відносить 93-99% пилу. Особливу небезпеку становить пил важких металів, що викидається в атмосферу або у водоймища і включається в природний кругообіг; ще небезпечніші — металічні отрути та діоксин. Природні відвали, що горять, виділяють на кожну тонну породи до 135 мг пилу і 86,3-363 кг газів (СО, СО2, SO2, Н2S, NO+NO2).

Забруднення гідросфери приводить до погіршення якості води для водокористування. Забруднення гідросфери відбувається і за рахунок вимивання оксидів рідкісноземельних елементів з породних відвалів, при їх вивітрюванні, транспортуванні корисних копалин.Забруднення літосфери відбувається в геолологічних структурах за до отруйних і радіоактивних речовин.Забруднення біосфери при видобутку корисних копалин відбувається опосередковано.
4,6(28 оценок)
Это интересно:
Новые ответы от MOGZ: Математика
logo
Вход Регистрация
Что ты хочешь узнать?
Спроси Mozg
Открыть лучший ответ