М
Молодежь
К
Компьютеры-и-электроника
Д
Дом-и-сад
С
Стиль-и-уход-за-собой
П
Праздники-и-традиции
Т
Транспорт
П
Путешествия
С
Семейная-жизнь
Ф
Философия-и-религия
Б
Без категории
М
Мир-работы
Х
Хобби-и-рукоделие
И
Искусство-и-развлечения
В
Взаимоотношения
З
Здоровье
К
Кулинария-и-гостеприимство
Ф
Финансы-и-бизнес
П
Питомцы-и-животные
О
Образование
О
Образование-и-коммуникации
cnastya970
cnastya970
03.12.2021 07:45 •  Математика

Вычислить. 1)-2 1/4 + 1,7 2)1 1/3-3,3 3)0,48 : (-12/13)

👇
Ответ:
dimaburkovskiy3
dimaburkovskiy3
03.12.2021
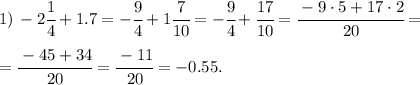
1) \, -2 \cfrac{1}{4} + 1.7 = -\cfrac{9}{4} + 1 \cfrac{7}{10} = -\cfrac{9}{4} + \cfrac{17}{10}=
\cfrac{-9\cdot5+17\cdot2}{20}= \\\\ = \cfrac{-45+34}{20}= \cfrac{-11}{20}=-0.55.

2) \, 1 \cfrac{1}{3} -3.3=1\cfrac{1}{3}-3\cfrac{3}{10}=\cfrac{4}{3}-\cfrac{33}{10}=
\cfrac{4\cdot10 - 33\cdot 3}{30}=\cfrac{40-99}{30}= \\\\
=\cfrac{-59}{30}=-1\cfrac{29}{30}.

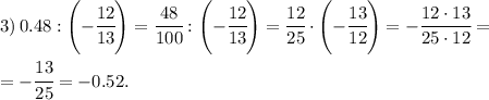
3) \, 0.48 : \left(-\cfrac{12}{13}\right)= \cfrac{48}{100} : \left(-\cfrac{12}{13}\right) = 
\cfrac{12}{25} \cdot \left(-\cfrac{13}{12}\right) = - \cfrac{12\cdot13}{25\cdot12} = \\\\ = -\cfrac{13}{25} = -0.52.
4,6(65 оценок)
Открыть все ответы
Ответ:
Жанеля200004
Жанеля200004
03.12.2021
Сначала мы узнаем какой промежуток времени с 8 до 11часов
1)11-8=3 часа
теперь мы узнаем сколько км грузови за три часа
2) 32*3=96 км грузовик за три часа
теперь мы узнаем разность скаростей
3)56-32=24 км разница автобуса и грузовика
теперь узнаем через сколько автобус догонит грузовик
4)96/24=через 4 часа автобус догонит грузовик
теперь узнаем через сколько они встретятся 
5)11 часов+4 часа=15 часов они встретятся
теперь узнаем на каком расстояние грузовик будет от города
6)56*4=224км расстояние от города
4,6(29 оценок)
Ответ:
Superniolay
Superniolay
03.12.2021
Сначала мы узнаем какой промежуток времени с 8 до 11часов
1)11-8=3 часа
теперь мы узнаем сколько км грузови за три часа
2) 32*3=96 км грузовик за три часа
теперь мы узнаем разность скаростей
3)56-32=24 км разница автобуса и грузовика
теперь узнаем через сколько автобус догонит грузовик
4)96/24=через 4 часа автобус догонит грузовик
теперь узнаем через сколько они встретятся 
5)11 часов+4 часа=15 часов они встретятся
теперь узнаем на каком расстояние грузовик будет от города
6)56*4=224км расстояние от города
4,6(78 оценок)
Это интересно:
Новые ответы от MOGZ: Математика
logo
Вход Регистрация
Что ты хочешь узнать?
Спроси Mozg
Открыть лучший ответ