М
Молодежь
К
Компьютеры-и-электроника
Д
Дом-и-сад
С
Стиль-и-уход-за-собой
П
Праздники-и-традиции
Т
Транспорт
П
Путешествия
С
Семейная-жизнь
Ф
Философия-и-религия
Б
Без категории
М
Мир-работы
Х
Хобби-и-рукоделие
И
Искусство-и-развлечения
В
Взаимоотношения
З
Здоровье
К
Кулинария-и-гостеприимство
Ф
Финансы-и-бизнес
П
Питомцы-и-животные
О
Образование
О
Образование-и-коммуникации
femjimin
femjimin
11.11.2020 02:16 •  Математика

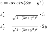
Вычислить частные производные первого и второго порядка функции z=arcsin(3x+y^2)

👇
Ответ:
z=arcsin(3x+y^2)\\\\z'_{x}= \frac{1}{ \sqrt{1-(3x+y^2)^2}}\cdot 3\\\\z'_{y}= \frac{1}{ \sqrt{1-(3x+y^2)^2}}\cdot 2y
4,7(76 оценок)
Открыть все ответы
Ответ:
siylvio
siylvio
11.11.2020
Ну, 9! данный предыдущим отвечающим - ответ явно неправильный, поскольку 9! - это порядка миллиона, а всего трехзначных чисел возможно 999-100=899. А нам подходят не все. 

В данной задаче нужно подсчитать число размещений 3 в 9. 
В комбинаторике размещением называется расположение «предметов» на некоторых «местах» при условии, что каждое место занято в точности одним предметом и все предметы различны. 
Число размещений 3 в 9 равно 9!, деленное на 6!, то есть произведению чисел 7*8*9. Это равно 504. 
ответ: 504.
4,7(31 оценок)
Ответ:
Ну, 9! данный предыдущим отвечающим - ответ явно неправильный, поскольку 9! - это порядка миллиона, а всего трехзначных чисел возможно 999-100=899. А нам подходят не все. 

В данной задаче нужно подсчитать число размещений 3 в 9. 
В комбинаторике размещением называется расположение «предметов» на некоторых «местах» при условии, что каждое место занято в точности одним предметом и все предметы различны. 
Число размещений 3 в 9 равно 9!, деленное на 6!, то есть произведению чисел 7*8*9. Это равно 504. 
ответ: 504.
4,5(56 оценок)
Это интересно:
Новые ответы от MOGZ: Математика

MOGZ ответил

Полный доступ к MOGZ
Живи умнее Безлимитный доступ к MOGZ Оформи подписку
logo
Вход Регистрация
Что ты хочешь узнать?
Спроси Mozg
Открыть лучший ответ