М
Молодежь
К
Компьютеры-и-электроника
Д
Дом-и-сад
С
Стиль-и-уход-за-собой
П
Праздники-и-традиции
Т
Транспорт
П
Путешествия
С
Семейная-жизнь
Ф
Философия-и-религия
Б
Без категории
М
Мир-работы
Х
Хобби-и-рукоделие
И
Искусство-и-развлечения
В
Взаимоотношения
З
Здоровье
К
Кулинария-и-гостеприимство
Ф
Финансы-и-бизнес
П
Питомцы-и-животные
О
Образование
О
Образование-и-коммуникации
Vadim55554
Vadim55554
24.06.2020 08:14 •  Математика

Варифметической прогрес- сии a3 = 31 и a7 = 79. найдите a11 и s31.

👇
Ответ:
SuЯfeЯ
SuЯfeЯ
24.06.2020
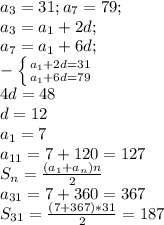
a_{3} =31; a_{7} =79; \\ 
 a_{3} = a_{1} +2d; \\ 
 a_{7} = a_{1} +6d; \\ 
 -\left \{ {{ a_{1}+2d=31 } \atop {a_{1}+6d=79}} \right. \\ 
4d=48 \\ d=12 \\ 
 a_{1} =7 \\ 
 a_{11} =7+120=127 \\ 
 S_{n} = \frac{( a_{1}+ a_{n})n }{2} \\ 
 a_{31} =7+360=367 \\ 
 S_{31} = \frac{(7+367)*31}{2}=187
4,7(42 оценок)
Открыть все ответы
Ответ:
marushakeduard
marushakeduard
24.06.2020
Итак , возьмем, так сказать, "самый трудный" вариант - есть окружность, нет центра окружности, есть точка А на окружности, через которую нужно провести касательную.
Все будем делать одинаковым раствором циркуля для простоты, можно и разным, но для унификации- одним. Решений задачи много, я привожу один из них.
рис.1    раствором циркуля делаем засечки на окружности , АВ=АС
рис.2     проводим прямые
рис.3    на продолжении одной из прямой делаем засечку такой же длины,                       получим точку Д     
рис.4  из т.С и Д опять же таким же раствором   чертим дуги, при пересечении дают точку М
рис. 5      проводим прямую МА - она искомая

доказывать не буду, скажу только , что АДМС - ромб, у него диагонали перпендикулярны. 
4,7(87 оценок)
Ответ:
ЧеLOVEчек51534
ЧеLOVEчек51534
24.06.2020
В круг вписан правильный шестиугольник со стороной 8 см. от вершины шестиугольника до центра проведи отрезки (р) и получишь 6 одинаковых равнобедренных треугольников.
основание равнобедренных треугольников равно 8 см сумма вершин 6 треуг. = 360 градусов Отсюда 1 вершина равна 360/6 =60 градусов. У равобедренного треугольника углы у основания равны а сумма всех углов =180 отсюда 180-60/2 = 60. значит треугольники равносторонние.  отрезок (р) он же радиус = 8 см так как у равностороннего треугольника все стороны равны.
сторона квадрата описаного вокруг окружности равна 2*радиус (р)
8*2 =16
4,8(29 оценок)
Новые ответы от MOGZ: Математика
logo
Вход Регистрация
Что ты хочешь узнать?
Спроси Mozg
Открыть лучший ответ