М
Молодежь
К
Компьютеры-и-электроника
Д
Дом-и-сад
С
Стиль-и-уход-за-собой
П
Праздники-и-традиции
Т
Транспорт
П
Путешествия
С
Семейная-жизнь
Ф
Философия-и-религия
Б
Без категории
М
Мир-работы
Х
Хобби-и-рукоделие
И
Искусство-и-развлечения
В
Взаимоотношения
З
Здоровье
К
Кулинария-и-гостеприимство
Ф
Финансы-и-бизнес
П
Питомцы-и-животные
О
Образование
О
Образование-и-коммуникации
Sasha2007ad
Sasha2007ad
10.06.2021 09:15 •  Математика

Найдите значение выражения 2\3 + 6 целых 3/7 - 2/21 29

👇
Ответ:
Vadym19
Vadym19
10.06.2021
2/3+6*3/7-2/21
2/3+18/7-2/21

22/7
или 
3 целых 1/7
4,6(96 оценок)
Ответ:
rethd
rethd
10.06.2021
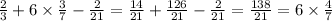
\frac{2}{3} + 6 \times \frac{3}{7} - \frac{2}{21} = \frac{14}{21} + \frac{126}{21} - \frac{2}{21} = \frac{138}{21} = 6 \times \frac{4}{7}
4,6(96 оценок)
Открыть все ответы
Ответ:
Спаси60
Спаси60
10.06.2021
Герой увлекается браконьерством и убивает рыбу в больших количествах.
2.Встреча с неизвестной рыбой огромных размеров, которая вызывает у Игнатьича неоднозначные эмоции. Он, то хочет скорее убить ее, то ему становится стыдно за свои мысли.
3.Рыбак пытается убить рыбу, замахиваясь на нее топором, но в итоге оказывается вместе с ней в речной ловушке.
4.Герой начинает понимать, что это не просто рыба, а царь-рыба, о которой его предупреждал дед.
5.Мужчина начинает жалеть обо всех своих проступках, которые он когда-либо совершал в жизни. Он просит прощения у Бога и молит его о
6.Молитвы Игнатьича сработали, и вместе с сетями царь-рыба уплыла вдаль.
4,8(92 оценок)
Ответ:
idalia444
idalia444
10.06.2021

Пошаговое объяснение:

1. И послушалась волна: тут же на берег она (3 лицо, ед число) бочку вынесла легонько и отхлынула тихонько.

2. Что же ты (2 л. ед ч.), ветер, стёкла гнёшь? Ставни с петель дико рвёшь?

3. В лесу ли, в поле или у воды читаем мы (1 л. мн.ч) звериные следы.

4. Поутру порою внешней вы (2 л. мн.ч) услышать не могли, как зелёные травинки тихо вышли из земли.

5. А кисти сочные горят; лишь то беда - висят они (3 л. мн.ч) высоко.

6. Однажды в студёную зимнюю пору я (1 л. ед.ч.) из лесу вышел.

4,7(7 оценок)
Это интересно:
Новые ответы от MOGZ: Математика
logo
Вход Регистрация
Что ты хочешь узнать?
Спроси Mozg
Открыть лучший ответ