М
Молодежь
К
Компьютеры-и-электроника
Д
Дом-и-сад
С
Стиль-и-уход-за-собой
П
Праздники-и-традиции
Т
Транспорт
П
Путешествия
С
Семейная-жизнь
Ф
Философия-и-религия
Б
Без категории
М
Мир-работы
Х
Хобби-и-рукоделие
И
Искусство-и-развлечения
В
Взаимоотношения
З
Здоровье
К
Кулинария-и-гостеприимство
Ф
Финансы-и-бизнес
П
Питомцы-и-животные
О
Образование
О
Образование-и-коммуникации
eliseenko941
eliseenko941
23.04.2022 15:15 •  Математика

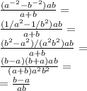
Ииз предложенных ответов подчеркните верный: (a^-2–b^-2)•ab – — a+b (это обычн. дробь) ответы: а)а+b. б)b-a\ab(обычн. дробь). в)a-b\a^2b^2(обычн. дробь) !

👇
Ответ:
katuwka20032003
katuwka20032003
23.04.2022
\frac{(a^{-2}-b^{-2})ab}{a+b}=\\ \frac{(1/a^2-1/b^{2})ab}{a+b}=\\ \frac{(b^2-a^2)/(a^2b^{2})ab}{a+b}=\\ \frac{(b-a)(b+a)ab}{(a+b)a^2b^2}=\\ =\frac{b-a}{ab}
4,8(93 оценок)
Открыть все ответы
Ответ:
1234353234
1234353234
23.04.2022
Музыка – это поэзия, жизнь души, изложенная звуками… многие великие люди искусства считали, что именно музыка является наиболее совершенной сферой прекрасного, именно музыка способна наиболее полно выражать различные эмоции, богатую внутреннюю жизнь человека. я убеждена, что музыка является важной частью жизни каждого человека. почти у всех есть те или иные музыкальные предпочтения, которые зависят от характера человека, склада его души, уровня культуры, просто вкуса. но ясно одно - без музыки жить невозможно. интересно, с чем это связано? почему любой человек нуждается в музыке? я думаю, слушая какое-то музыкальное произведение, мы живем богатой внутренней жизнью. музыка заставляет нас переживать, чувствовать – более ярко глубоко, полно. а это жизненно необходимо каждому человеку, ведь наша жизнь – это прежде всего жизнь эмоций. человек жив, пока он чувствует. лично я ни дня не могу обойтись без музыки. во многом это «профессиональная привычка», ведь я с шести лет занимаюсь в музыкальной школе – учусь играть на фортепиано. к счастью, меня миновала участь многих моих сокурсников – я не возненавидела музыку и инструмент, а, узнав, «из чего состоит» музыкальное произведение, как и из чего «оно извлекается», я еще больше полюбила это «волшебство». из всех музыкальных жанров мне ближе всего классическая музыка. на мой взгляд, классика – это высшее воплощение музыкальных возможностей человека, это гениальное выражение эмоций и чувств посредством звуков, с музыкальных инструментов. мне кажется, классическая музыка, как и классическая , дает ответы на все вопросы бытия, выражает все оттенки переживаний, которые только может испытать человек, вне зависимости от его склада ума, темперамента и так далее. нужно лишь суметь услышать, понять, найти «своего» композитора. среди «вечных классиков», как я их называю, мне ближе всего бах и моцарт. бах, по моим ощущениям, – это величественность, мощь, сила, почти нечеловеческая грандиозность. многие, самые известные, произведения баха посвящены земной жизни иисуса христа – «страсти по иоанну», «страсти по матфею» и др. исполненные на органе, они производят грандиозное впечатление – человек чувствует свою ничтожность по отношению к миру и, в то же время, свою огромную значимость – значимость человека, за которого на кресте страдал христос. но я люблю не только те сочинения баха, которые предназначены для игры на органе. в наше время многие его инвенции и сюиты стали обязательными пьесами в программах музыкальных школ, а прелюдии и фуги «хорошо темперированного клавира» - в училищах и консерваториях. кое-что из этого я с удовольствием играю сама, а что-то просто слушаю с большим наслаждением. но не надо думать, что я «правильная» выпускница музыкальной школы, которая слушает только классику. кроме этой «великой музыки вечности», я люблю и «великую музыку 20 века» - джаз. в отличие от строгой, лаконичной, четко выверенной классики джаз – это свобода, легкость, непринужденность. недаром одним из главных принципов джаза является импровизация. конечно, непревзойденными мастерами джазовой композиции являются чернокожие музыканты – майлз дэвис, рей чарльз, луи армонстонг, элла фицджеральд… но были среди великих джазистов и «белые люди». если говорить о них, то особенно мне нравится творчество новатора д. гершвина и, конечно, произведения, исполнявшиеся джаз-оркестрами дюка эллингтона, бенни гудмена, каунта бэйси, гленна миллера. я и сама иногда исполняю джазовые произведения, однако делать это сложно. по трудности исполнение джаз, на мой взгляд, приравнивается к классике. помимо «высоких» жанров в музыке, я люблю слушать так называемую эстрадную песню (не путать с поп-музыкой). возможно, вы сочтете меня старомодной, но мне нравится французская эстрада 60-70-ых гг. в ней я чувствую французскую изысканность, утонченность – то, что для меня является «французским стилем». слушая песни шарля азнавура или мирей матье, я вижу бульвар монмартр, представляю, будто сижу в одном из многочисленных парижских кафе на открытом воздухе, утренней прохладой и чашкой кофе со знаменитым французским круассаном. музыка – важнейшая часть моей жизни. она тесным образом связана с моими воспоминаниями, мечтами, желаниями – самой сокровенной частью жизни моей души. именно поэтому музыка так дорога мне, и я уверена, что она будет сопровождать меня на протяжении всей жизни.
4,7(66 оценок)
Ответ:
novichek5
novichek5
23.04.2022
ПДД Обязанности пешеходов 4.1. Пешеходы должны двигаться по тротуарам или пешеходным дорожкам, а при их отсутствии по обочинам. Пешеходы, перевозящие или переносящие громоздкие предметы, а также лица, передвигающиеся в инвалидных колясках без двигателя, могут двигаться по краю проезжей части, если их движение по тротуарам или обочинам создает помехи для других пешеходов. При отсутствии тротуаров, пешеходных дорожек или обочин, а также в случае невозможности двигаться по ним, пешеходы могут двигаться по велосипедной дорожке или идти в один ряд по краю проезжей части (на дорогах с разделительной полосой — по внешнему краю проезжей части). При движении по краю проезжей части пешеходы должны идти навстречу движению транспортных средств. Лица, передвигающиеся в инвалидных колясках без двигателя, ведущие мотоцикл, мопед, велосипед, в этих случаях должны следовать по ходу движения транспортных средств. При переходе дороги и движении по обочинам или краю проезжей части в темное время суток или в условиях недостаточной видимости пешеходам рекомендуется, а вне населенных пунктов пешеходы обязаны иметь при себе предметы со световозвращающими элементами и обеспечивать видимость этих предметов водителями транспортных средств. 4.2. Движение организованных пеших колонн по проезжей части разрешается только по направлению движения транспортных средств по правой стороне не более чем по четыре человека в ряд. Спереди и сзади колонны с левой стороны должны находиться сопровождающие с красными флажками, а в темное время суток и в условиях недостаточной видимости — с включенными фонарями: спереди — белого цвета, сзади — красного. Группы детей разрешается водить только по тротуарам и пешеходным дорожкам, а при их отсутствии — и по обочинам, но лишь в светлое время суток и только в сопровождении взрослых. 4.3. Пешеходы должны пересекать проезжую часть по пешеходным переходам, в том числе по подземным и надземным, а при их отсутствии — на перекрестках по линии тротуаров или обочин. На регулируемом перекрестке допускается переходить проезжую часть между противоположными углами перекрестка (по диагонали) только при наличии разметки 1.14.1 или 1.14.2, обозначающей такой пешеходный переход. При отсутствии в зоне видимости перехода или перекрестка разрешается переходить дорогу под прямым углом к краю проезжей части на участках без разделительной полосы и ограждений там, где она хорошо просматривается в обе стороны. 4.4. В местах, где движение регулируется, пешеходы должны руководствоваться сигналами регулировщика или пешеходного светофора, а при его отсутствии — транспортного светофора.
4,7(56 оценок)
Это интересно:
Новые ответы от MOGZ: Математика
logo
Вход Регистрация
Что ты хочешь узнать?
Спроси Mozg
Открыть лучший ответ