М
Молодежь
К
Компьютеры-и-электроника
Д
Дом-и-сад
С
Стиль-и-уход-за-собой
П
Праздники-и-традиции
Т
Транспорт
П
Путешествия
С
Семейная-жизнь
Ф
Философия-и-религия
Б
Без категории
М
Мир-работы
Х
Хобби-и-рукоделие
И
Искусство-и-развлечения
В
Взаимоотношения
З
Здоровье
К
Кулинария-и-гостеприимство
Ф
Финансы-и-бизнес
П
Питомцы-и-животные
О
Образование
О
Образование-и-коммуникации
daryaladelshhikova
daryaladelshhikova
14.08.2020 13:47 •  Математика

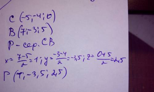
Даны точки а(-4; 6; -3)в(7; -3; 5); с(-5; -4; 0)d(3; 0; -5)найти координаты середины p отрезка cb

👇
Ответ:
nadiamandrik23
nadiamandrik23
14.08.2020
Решение дано на фото.
Даны точки а(-4; 6; -3)в(7; -3; 5); с(-5; -4; 0)d(3; 0; -5)найти координаты середины p отрезка cb
4,8(64 оценок)
Открыть все ответы
Ответ:
Malina235
Malina235
14.08.2020
I случай(по течению)
Узнаём общую скорость, которую выдаёт сама лодка, и за счёт которой лодка ускоряется(скорость течения)
12,6 км/ч + 1,8 км/ч = 14,4 км/ч
А теперь узнаём, какой путь проделает лодка по течению за 3, 2.5, 0.5 часов
а) 14,4 км/ч · 3 ч = 43,2 км
б) 14,4 км/ч · 2.5 ч = 36 км
в) 14,4 км/ч · 0.5 ч = 7,2 км
II случай(против течения)
Узнаём общую скорость, которую выдаёт сама лодка, и за счёт которой лодка замедляется(скорость течения)
12,6 км/ч - 1,8 км/ч = 10,8 км/ч
А теперь узнаём, какой путь проделает лодка против течения за 3, 2.5, 0.5 часов
а) 10,8 км/ч · 3 ч = 32,4 км
б) 10,8 км/ч · 2.5 ч = 27 км
в) 10,8 км/ч · 0.5 ч = 5,4 км
4,7(58 оценок)
Ответ:
Кошка200511
Кошка200511
14.08.2020
I случай(по течению)
Узнаём общую скорость, которую выдаёт сама лодка, и за счёт которой лодка ускоряется(скорость течения)
12,6 км/ч + 1,8 км/ч = 14,4 км/ч
А теперь узнаём, какой путь проделает лодка по течению за 3, 2.5, 0.5 часов
а) 14,4 км/ч · 3 ч = 43,2 км
б) 14,4 км/ч · 2.5 ч = 36 км
в) 14,4 км/ч · 0.5 ч = 7,2 км
II случай(против течения)
Узнаём общую скорость, которую выдаёт сама лодка, и за счёт которой лодка замедляется(скорость течения)
12,6 км/ч - 1,8 км/ч = 10,8 км/ч
А теперь узнаём, какой путь проделает лодка против течения за 3, 2.5, 0.5 часов
а) 10,8 км/ч · 3 ч = 32,4 км
б) 10,8 км/ч · 2.5 ч = 27 км
в) 10,8 км/ч · 0.5 ч = 5,4 км
4,6(59 оценок)
Новые ответы от MOGZ: Математика
logo
Вход Регистрация
Что ты хочешь узнать?
Спроси Mozg
Открыть лучший ответ