М
Молодежь
К
Компьютеры-и-электроника
Д
Дом-и-сад
С
Стиль-и-уход-за-собой
П
Праздники-и-традиции
Т
Транспорт
П
Путешествия
С
Семейная-жизнь
Ф
Философия-и-религия
Б
Без категории
М
Мир-работы
Х
Хобби-и-рукоделие
И
Искусство-и-развлечения
В
Взаимоотношения
З
Здоровье
К
Кулинария-и-гостеприимство
Ф
Финансы-и-бизнес
П
Питомцы-и-животные
О
Образование
О
Образование-и-коммуникации
manyna4
manyna4
24.02.2020 23:29 •  Математика

Найти частное от делителя многочлена x^(3)+2x^(2)+3x-4 на x-2

👇
Ответ:
lisnyakmashenk
lisnyakmashenk
24.02.2020
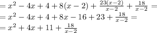
(x-2)^{2}=x^{2}-4x+4 \\ (x-2)^{3}= (x^{2}-4x+4)(x-2)=x^{3}-6x^2+12x-8 \\ \\ 
 \frac{x^{3}+2x^{2}+3x-4}{x-2}= \frac{x^{3}-6x^2+12x-8+8x^{2}-9x+4}{x-2}= \\ 
= \frac{x^{3}-6x^2+12x-8}{x-2}+ \frac{8x^{2}-9x+4}{x-2} = \\ =
 \frac{(x^{2}-4x+4)(x-2)}{x-2}+ \frac{8x^{2}-32x+32+23x-28}{x-2}= \\ =x^{2}-4x+4+ \frac{8x^{2}-32x+32}{x-2} + \frac{23x-28}{x-2}= \\ =x^{2}-4x+4+ \frac{8(x^{2}-4x+4)}{x-2} + \frac{23x-46+18}{x-2}= \\ =x^{2}-4x+4+ \frac{8(x-2)^{2}}{x-2} + \frac{23x-46}{x-2}+ \frac{18}{x-2}=
=x^{2}-4x+4+8(x-2)+ \frac{23(x-2)}{x-2}+ \frac{18}{x-2}= \\ =x^{2}-4x+4+8x-16+23+ \frac{18}{x-2}= \\ =x^{2}+4x+11+\frac{18}{x-2}
x^{2}+4x+11 - частное при делении многочлена x^{3}+2x^{2}+3x-4 на многочлен x-2.
4,7(29 оценок)
Открыть все ответы
Ответ:
vadim252525
vadim252525
24.02.2020

Відповідь:

Покрокове пояснення:

1. Р(а)=С(10,3)×С(4,1)×С(6,1)/С(20,5)=0.1857585139

Р(б)=С(10,5)/С(20,5)=0.01625387

2. S□=2×2=4 площадь квадрата | ReZ| ≤ 1 , | ImZ| ≤ 1

S◇=1×2=2-площадь трапеции ImZ ≤ Re(3Z).

Р=2/4=1/2

3. Надежность первого звена =1-(1-(р□×р□×р○ ))×(1-p□×p○)= 1-(1-0.9^2×0.8)×(1-0.9×0.8)=0.90144

Надежность второго звена= 1-q○×q□×q○=1-0.8^2×0.9=0.424

Тогда надежность всей цепи = 0.90144×0.424=0.382

4. Разрив наступает при собитиях K U LM U NPQ

Разрив К. с р1=0.1. , надежность 1-0.1=0.9

Надежность LM =(1-0.2)(1-0.3)=0.8×0.7=0.56

Разрив LM=1-0.56=0.44

Надежность NPQ=(1-p4)(1-p5)(1-p6)=0.6×0.8×0.9=0.432

Разрив NPQ=1-0.432=0.568

вероятность разрыва электрической цепи=

1-0.9×0.56×0.432=0.782272

5. Пусть собитие Н1, Н2, Н3 вибраная урна 1, 2 или 3 соответственно

Р(Н1)=Р(Н2)=Р(Н3)=1/3

а) Собитие А- витянули белий шар

Р(А/Н1)=6/11

Р(А/Н2)=5/8

Р(А/Н3)=7/11

Тогда Р(А)=1/3(6/11+5/8+7/11)=0.602

б) Р(Н2/А)=(1/3×5/8)/0.602=0.346

4,6(99 оценок)
Ответ:
dead11dead
dead11dead
24.02.2020
Для того чтобы получился большой объем, необязательно придумывать большое количество причин, объясняющих, почему человек не может прожить без семьи.
Достаточно привести несколько и по каждой расписать конкретные примеры.
Например, начать можно с того, что человек изначально не создан быть одиноким. Даже в первобытные времена люди жили вместе. Это были родовые кланы. (Раскрыть поподробнее)
Маленький человечек рождается не на заводском конвейере, он рождается в семье, и первые годы жизни он просто не в состоянии выжить чисто физически в этом мире. (Раскрыть поподробнее)
Потом можно вспомнить о том, что все радости и горести гораздо легче переживать, когда рядом есть кто-то близкий, тот, кто поймет и разделит это с тобой. Как гласит древняя мудрость: радость, умноженная на двоих - это двойная радость, а горе, разделенное на двоих - это половина горя. (Раскрыть подробнее, привести примеры из разных возрастов и жизненных ситуаций)
Можно вспомнить про одиноких пенсионеров, которые заводят дома кошечек и собачек, только для того, чтобы рядом было живое существо, которое тебя любит. 
Человеку необходимо чувствовать себя нужным и любимым. Без этого его жизнь теряет всякий смысл. (Раскрыть подробнее, привести примеры) 
4,5(25 оценок)
Это интересно:
Новые ответы от MOGZ: Математика
logo
Вход Регистрация
Что ты хочешь узнать?
Спроси Mozg
Открыть лучший ответ