М
Молодежь
К
Компьютеры-и-электроника
Д
Дом-и-сад
С
Стиль-и-уход-за-собой
П
Праздники-и-традиции
Т
Транспорт
П
Путешествия
С
Семейная-жизнь
Ф
Философия-и-религия
Б
Без категории
М
Мир-работы
Х
Хобби-и-рукоделие
И
Искусство-и-развлечения
В
Взаимоотношения
З
Здоровье
К
Кулинария-и-гостеприимство
Ф
Финансы-и-бизнес
П
Питомцы-и-животные
О
Образование
О
Образование-и-коммуникации
Alex1302529
Alex1302529
30.09.2022 22:54 •  Математика

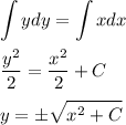
Ydy=xdx, y(-2)=4 дифферен.уравнения

👇
Ответ:
PetryxaMakvin
PetryxaMakvin
30.09.2022
Это уравнение является дифференциальным уравнение с разделёнными переменными, т.е. можно сразу уже проинтегрировать левую и правую части уравнения

\displaystyle \int ydy=\int xdx\\ \\ \frac{y^2}{2} = \frac{x^2}{2} +C\\ \\ y=\pm \sqrt{x^2+C}

Осталось найти частное решение, подставляя начальные условия y(-2)=4

4= \sqrt{(-2)^2+C} \\ C=12

y= \sqrt{x+12} - частное решение.
4,6(3 оценок)
Открыть все ответы
Ответ:
73021081
73021081
30.09.2022

правила поведения на льду.

до наступления устойчивых морозов, водоемы покрываются льдом, который не и легко ломается под ногами человека или под тяжестью техники. скрепленный вечерним или ночным холодом, он ещё способен выдерживать небольшую нагрузку, но днем быстро нагреваясь от просачивающейся через него талой воды, становится пористым и слабым, хотя сохраняет достаточную толщину. однако каждый год многие люди пренебрегают мерами предосторожности и выходят на тонкий осенний лед, тем самым, подвергая свою жизнь смертельной опасности.

становление льда:

• как правило, водоемы замерзают неравномерно, по частям: сначала у берега, на мелководье, в защищенных от ветра заливах, а затем уже на середине.

• на озерах, прудах (на всех водоемах со стоячей водой, особенно на тех, куда не впадает ни один ручеек, в которых нет русла придонной реки, подводных ключей) лед появляется раньше, чем на речках, где течение задерживает льдообразование.

• на одном и том же водоеме можно встретить чередование льдов, которые при одинаковой толщине различной прочностью и грузоподъемностью.

это нужно знать:

безопасным для человека считается лед толщиной не менее 10 см в пресной воде и 15 см в соленой.

в устьях рек и протоках прочность льда ослаблена.

лед в местах быстрого течения, бьющих ключей и стоковых вод, а так же в районах произрастания водной растительности, вблизи деревьев, кустов, камыша.

если температура воздуха выше 0 градусов держится более трех дней, то прочность льда снижается на 25%.

прочность льда можно определить визуально:

- лед голубого цвета - прочный,

- белого - прочность его в 2 раза меньше,

- матово белый или с желтоватым оттенком - ненадежен.

правила поведения на льду:

не переходите водоем по льду в запрещенных местах.

не выезжайте на лед на мотоциклах, автомобилях вне переправ.

не выходите на тонкий лед в начале зимы (лед ломается со звонким хрустом, трещит) и в начале весны (лед ломается без треска, вода быстро просачивается и заполняет следы).

в начале зимы наиболее опасна середина водоема. в конце зимы опасны прибрежные участки, участки вблизи сливных труб, под мостами.

ни в коем случае нельзя выходить на лед в темное время суток и при плохой видимости (туман, снегопад, дождь).

при переходе через реку пользуйтесь ледовыми переправами.

нельзя проверять прочность льда ударом ноги. имейте в руках палку, прощупывайте перед собой путь. если после первого сильного удара покажется хоть немного, или если лед начал трескаться - это означает, что лед тонкий, по нему ходить нельзя. в этом случае следует осторожно лечь и ползти по своим обратно или отойти по своему же следу к берегу, скользящими шагами, не отрывая ног ото льда и расставив их на ширину плеч, чтобы нагрузка распределялась на большую площадь. точно так же поступают при предостерегающем потрескивании льда и образовании в нем трещин.

при вынужденном переходе водоема безопаснее всего придерживаться проторенных троп или идти по уже проложенной лыжне или по натоптанным и тропинкам. но если их нет, надо перед тем, как спуститься на лед, внимательно осмотреться и наметить предстоящий маршрут.

не собирайтесь группами на отдельных участках льда. при переходе водоема группой необходимо соблюдать расстояние друг от друга (5-6 м). вперед пропустите самого опытного.

замерзшую реку (озеро) лучше перейти на лыжах, при этом: крепления лыж расстегните, чтобы при необходимости быстро их сбросить; лыжные палки держите в руках, не накидывая петли на кисти рук, чтобы в случае опасности сразу их отбросить.

если есть рюкзак, повесьте его на одно плечо, это позволит легко освободиться от груза в случае, если лед под вами провалится.

на замерзший водоем необходимо брать с собой прочный шнур длиной 20 - 25 метров с большой глухой петлей на конце и грузом. груз забросить шнур к провалившемуся в воду товарищу, петля нужна для того, чтобы пострадавший мог надежнее держаться, продев ее подмышки.

родители! не отпускайте детей на лед (на , катание на лыжах и коньках) без присмотра!

одна из самых частых причин трагедий на водоёмах - алкогольное опьянение. люди неадекватно реагируют на опасность и в случае чрезвычайной ситуации становятся .

4,7(39 оценок)
Ответ:
rustik1619
rustik1619
30.09.2022

практически каждый год случаются ситуации, когда наиболее нетерпеливые любители зимней или катания на коньках в опасное положение, оказываясь в ледяной воде. и все потому, что не берется во внимание толщина льда. таким любителям первым делом надо изучить меры безопасности на льду в зимний период, а только потом отправляться на водоем. самое главное правило: не уверен в прочности льда – не ступай на него. порой человек начинает понимать свою оплошность, уже оказавшись на тонком льду, в этом случае надо постараться по своим вернуться осторожно назад.

с наступлением морозной погоды не стоит рассчитывать на мгновенное покрытие водоемов льдом. это процесс длительный и зависит от многих факторов. начинается он, как правило, с ноября и продолжается до самого нового года. все зависит от погодных условий, которые каждый год бывают разными. при низкой температуре ночью лед формируется, но под лучами солнца днем начинает становиться пористым от воды, которая сквозь него просачивается. при этом толщина может быть уже приличной, но надежным его назвать нельзя, поэтому важно соблюдать меры безопасности на льду.

4,4(28 оценок)
Это интересно:
Новые ответы от MOGZ: Математика
logo
Вход Регистрация
Что ты хочешь узнать?
Спроси Mozg
Открыть лучший ответ