М
Молодежь
К
Компьютеры-и-электроника
Д
Дом-и-сад
С
Стиль-и-уход-за-собой
П
Праздники-и-традиции
Т
Транспорт
П
Путешествия
С
Семейная-жизнь
Ф
Философия-и-религия
Б
Без категории
М
Мир-работы
Х
Хобби-и-рукоделие
И
Искусство-и-развлечения
В
Взаимоотношения
З
Здоровье
К
Кулинария-и-гостеприимство
Ф
Финансы-и-бизнес
П
Питомцы-и-животные
О
Образование
О
Образование-и-коммуникации
vladosik1885
vladosik1885
21.06.2020 09:03 •  Математика

Как решить 1 5км ч 12 км ч скорость в догонку 6км t -3ч d3 -? км

👇
Ответ:
ilonazin03
ilonazin03
21.06.2020
Надо найти разность между 12 и 5 = 7
надо 7 умножить на 3 = 21
затем из 21 вычесть 6 = 15

ответ : растояние через три часа равно 15км.
4,5(74 оценок)
Открыть все ответы
Ответ:
tayatoadvel
tayatoadvel
21.06.2020
№1
2 1\5+1 3\10+1\4=2 4\20+1 6\20+5\20=3 15\20=3 3\4ч=3ч 45мин-был в пути.

№2
а) 1 1/3 + 4 1/6 + 1 3/4 + 2 2/3 + 3 1/4=(1 1\3+2 2\3+4 1\6)+(3 1\4+3 1\4)=14 2\3
1)1 1\3+2 2\3+4 1\6=1 2\6+2 4\6+4 1\6=7 7\6=8 1\6
2)3 1\4+3 1\4=6 2\4=6 1\2
3)8 1\6+6 1\2=8 1\6+6 3\6=14 4\6=14 2\3

№3
1) 17 1/2 - 2 /34=17 2/4-2 3/4=14 3/4 км/ч - собственная скорость лодки.
2) 14 3/4- 2 3/4=12 км/ч-скорость  против течения.

№4
1)1:6=1\6 рукописи\час-скорость первой.
2)1:8=1\8 рукописи\час-скорость второй.
3)1\6+1\8=4\24+3\24=7\24 рукописи\час-вместе.
4)1-7\24=24\24-7\24=17\24 рукописи-останется.
4,6(57 оценок)
Ответ:
123Никита5634
123Никита5634
21.06.2020
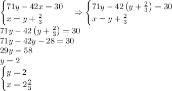
За 40 минут мотоциклист проедет 42*40/60 = 42*2/3 = 28 км. Значит, когда автомобиль выехал, расстояние между ними меньше 30 км. Тогда 30 км - это расстояние, на которое автомобиль обогнал мотоциклиста.
Пусть до этого момента мотоциклист находился в пути x часов, автомобиль y часов.
Мото проехал 42x км, авто 71y км. 
Мотоциклист находился в пути на 40 мин или 2/3 часа дольше, то есть x = y+2/3.
\begin{cases}71y-42x=30\\x=y+\frac23\end{cases}\Rightarrow\begin{cases}71y-42\left(y+\frac23\right)=30\\x=y+\frac23\end{cases}\\
71y-42\left(y+\frac23\right)=30\\71y-42y-28=30\\29y=58\\y=2\\\begin{cases}y=2\\x=2\frac23\end{cases}
То есть они встретятся через 2 2/3 часа = 2 часа 40 минут после выезда мотоциклиста или через 2 часа после выезда автомобиля.
9 ч + 2 ч 40 мин = 11 ч 40 мин
9 ч 40 мин + 2 ч = 11 ч 40 мин
4,5(40 оценок)
Это интересно:
Новые ответы от MOGZ: Математика
logo
Вход Регистрация
Что ты хочешь узнать?
Спроси Mozg
Открыть лучший ответ