М
Молодежь
К
Компьютеры-и-электроника
Д
Дом-и-сад
С
Стиль-и-уход-за-собой
П
Праздники-и-традиции
Т
Транспорт
П
Путешествия
С
Семейная-жизнь
Ф
Философия-и-религия
Б
Без категории
М
Мир-работы
Х
Хобби-и-рукоделие
И
Искусство-и-развлечения
В
Взаимоотношения
З
Здоровье
К
Кулинария-и-гостеприимство
Ф
Финансы-и-бизнес
П
Питомцы-и-животные
О
Образование
О
Образование-и-коммуникации
Novalniy2018
Novalniy2018
22.02.2023 08:03 •  Математика

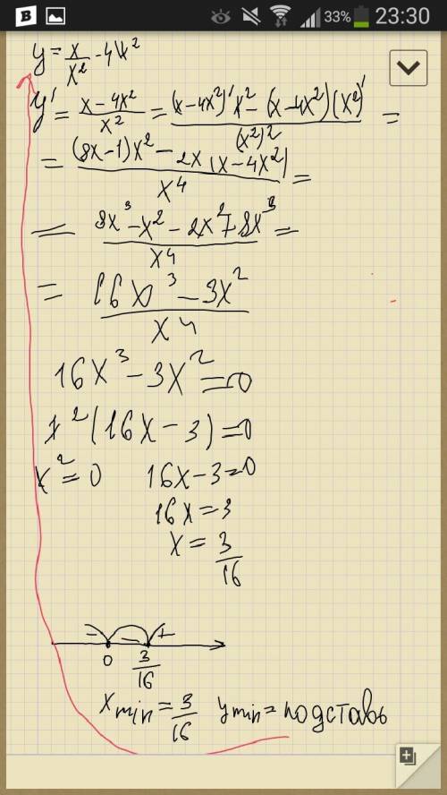
Как найти точки экстремума а) у= х / х ^2 - 4 б) у=х ^2 / х^2 - 16 в) у=х ^2 +4 / х^2 - 4 г) у= х / 4-х^2

👇
Ответ:
rambobamborap08ffj
rambobamborap08ffj
22.02.2023
Это только а остальные по той же схеме . 1 найти производную функции. 2. приравнять производную к нулю. 3. найти иксы. 4 выставить их в порядке возрастания на оси абсцисс. 5. раставить знаки методом интервалов. 6 найти х мин или х мах. 7 найти у мин и у мах, подставив значения иксов не в производную а в саму функцию

Как найти точки экстремума а) у= х / х ^2 - 4 б) у=х ^2 / х^2 - 16 в) у=х ^2 +4 / х^2 - 4 г) у= х /
4,8(99 оценок)
Открыть все ответы
Ответ:
BN6573
BN6573
22.02.2023
Яблоки Бориса: (11;15)
Яблоки Марата: (9;13)

Если сложить яблоки Бориса и Марата и разделить их на 4 (Марат+Борис+друг1+друг2), то получится целое число.

Итак, возможные варианты количества яблок:
У Бориса 12,13,14
У Марата 10,11,12

Теперь будем методом "веера" складывать яблоки Бориса и Марата и получим ответ:
12+10=22 (не делится на 4)
12+11=23  (не делится на 4)
12+12=24 (делится на 4, ответ 6)

13+10=23  (не делится на 4)
13+11=24 (делится на 4, ответ 6)
13+12=25 (не делится на 4)

14+10=24 (делится на 4, ответ 6)
14+11=25 (не делится на 4)
14+12=26 (не делится на 4)

В результате имеем следующие возможные количества яблок у обоих мльчиков
Борис     Марат
  12           12
  13           11
  14           10
4,4(31 оценок)
Ответ:
alinika2007
alinika2007
22.02.2023
Алгебраическое решение:
Один угол = х
Второй угол = 2х
Третий угол = х + 28
Решение:
х + 2х + х + 28 = 180
4х = 180 - 28
4х = 152
х = 38
2х = 76
х + 28 = 66
ответ: один ∠ = 38градусов, другой ∠ = 76градусов;
           третий ∠ = 66 градусов.

Арифметический
Один угол = 1 части
Второй угол = 2 частям
Третий угол = 1 часть + 28 градусов
Решение:
1) 180 - 28 = 152(градусов)
2) 1 + 2 + 1 = 4 (части) составляют 152 градусов
3) 152 : 4 = 38(градусов) - это один угол
4) 38 * 2 = 76(градусов) - это второй угол
5) 38 + 28 = 66(градусов) - это третий угол
ответ: тот же.
4,4(72 оценок)
Это интересно:
Новые ответы от MOGZ: Математика
Полный доступ к MOGZ
Живи умнее Безлимитный доступ к MOGZ Оформи подписку
logo
Вход Регистрация
Что ты хочешь узнать?
Спроси Mozg
Открыть лучший ответ