М
Молодежь
К
Компьютеры-и-электроника
Д
Дом-и-сад
С
Стиль-и-уход-за-собой
П
Праздники-и-традиции
Т
Транспорт
П
Путешествия
С
Семейная-жизнь
Ф
Философия-и-религия
Б
Без категории
М
Мир-работы
Х
Хобби-и-рукоделие
И
Искусство-и-развлечения
В
Взаимоотношения
З
Здоровье
К
Кулинария-и-гостеприимство
Ф
Финансы-и-бизнес
П
Питомцы-и-животные
О
Образование
О
Образование-и-коммуникации
Хєю
Хєю
21.10.2020 04:47 •  Математика

31/4х+3 3/14= 3 5/12x+ 4 5/7 если что это уравнение

👇
Ответ:
Чай24
Чай24
21.10.2020
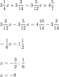
\displaystyle 3 \frac{1}{4}x+3 \frac{3}{14}=3 \frac{5}{12}x+4 \frac{5}{7} \\ \\ \\ 3 \frac{3}{12}x-3 \frac{5}{12}x=4 \frac{10}{14}-3 \frac{3}{14} \\ \\ \\ - \frac{1}{6}x=1 \frac{1}{2} \\ \\ \\ x=- \frac{3}{2}: \frac{1}{6} \\ \\ x=-9

Проверим:

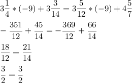
\displaystyle 3 \frac{1}{4}*(-9)+3 \frac{3}{14}=3 \frac{5}{12}*(-9)+4 \frac{5}{7} \\ \\ -\frac{351}{12}+ \frac{45}{14}= -\frac{369}{12}+ \frac{66}{14} \\ \\ \frac{18}{12}= \frac{21}{14} \\ \\ \frac{3}{2}= \frac{3}{2}

ответ: {-9}

31/4х+3 3/14= 3 5/12x+ 4 5/7 если что это уравнение
4,6(94 оценок)
Ответ:
abdulla805
abdulla805
21.10.2020
Вот подробное решение
4,5(70 оценок)
Открыть все ответы
Ответ:
bajkovat7
bajkovat7
21.10.2020
Мастерству сказочного повествования одоевский учился у народа. в сказке « городок в табакерке » сюжет, тема и идея принадлежат самому одоевскому . они не имеют аналогий в народной поэзии: сказка о технике - творчество исключительно писателей, которые следили за развитием научного прогресса, понимали значение пропаганды научных идей среди подрастающего поколения. но « городок в табакерке » - произведение сказочного жанра, и, как во всякой сказке, в нем органически сочетается рассказ о реальных фактах и явлениях с фантастическим вымыслом. большую роль п освещении идейного содержания сказки играет композиция. герой сказки « городок в табакерке » миша, странствуя по сказочному городку музыкальной табакерки в сопровождении мальчика-колокольчика, знакомится сначала с каждой технической деталью в отдельности. каждую деталь (колокольчики, молоточки, валик, пружинку) писатель уподобляет какому-нибудь живому существу. в конце сказки, как бы обобщая сказанное, одоевский заставляет пружинку рассказать мише о техническом устройстве музыкальной шкатулки в целом.
4,8(38 оценок)
Ответ:
dinbili4
dinbili4
21.10.2020

 эта музыка насыщена маршевыми интонациями. Музыка «Военного марша» звучит бодро, энергично, торжественно.

 Какое выразительное значение имеет вступление к маршу?

Звучание трубы напоминает «военные сигналы» и тем самым создает особое боевое приподнятое настроение и сильный характер.

 

: Обе мелодии маршевого характера, слышится четкий шаг, но вторая мелодия более напевная, что вносит контраст образов.

 Марш написан в трехчастной форме. И мелодия первой и третьей части закрепляет значимость образных характеристик марша: торжественно победного

4,5(52 оценок)
Новые ответы от MOGZ: Математика
logo
Вход Регистрация
Что ты хочешь узнать?
Спроси Mozg
Открыть лучший ответ