М
Молодежь
К
Компьютеры-и-электроника
Д
Дом-и-сад
С
Стиль-и-уход-за-собой
П
Праздники-и-традиции
Т
Транспорт
П
Путешествия
С
Семейная-жизнь
Ф
Философия-и-религия
Б
Без категории
М
Мир-работы
Х
Хобби-и-рукоделие
И
Искусство-и-развлечения
В
Взаимоотношения
З
Здоровье
К
Кулинария-и-гостеприимство
Ф
Финансы-и-бизнес
П
Питомцы-и-животные
О
Образование
О
Образование-и-коммуникации
никирек
никирек
10.09.2021 05:35 •  Математика

Вычислите вторую производную y=-lnctg2x

👇
Ответ:
lgep08jle
lgep08jle
10.09.2021
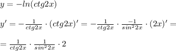
y=-ln(ctg2x)\\\\y'=-\frac{1}{ctg2x}\cdot (ctg2x)'=-\frac{1}{ctg2x}\cdot \frac{-1}{sin^22x}\cdot (2x)'=\\\\=\frac{1}{ctg2x}\cdot \frac{1}{sin^22x}\cdot 2

y''=(\frac{2}{ctg2x\cdot sin^22x})'=\frac{2'\cdot ctg2x\cdot sin^22x-2\cdot ((ctg2x)'\, sin^22x+ctg2x\cdot (sin^22x)')}{ctg^22x\cdot sin^42x}=\\\\=\frac{0-2\cdot (-\frac{2}{sin^22x}\cdot sin^22x+ctg2x\cdot 2\, sin2x\cdot cos2x\cdot 2)}{ctg^22x\cdot sin^42x}=\frac{4-4ctg2x\cdot sin4x}{ctg^22x\cdot sin^42x}

2^\star )\; \; \; y'= \frac{2}{ctg2x\cdot sin^22x}=\frac{2}{\frac{cos2x}{sin2x}\cdot sin^22x}=\frac{2}{sin2x\cdot cos2x}=\frac{4}{sin4x}\\\\y''=\frac{0-4\cdot cos4x\cdot 4}{sin^24x}=-\frac{16\cdot cos4x}{sin^24x}=-\frac{4\cdot ctg4x}{sin4x}
4,4(100 оценок)
Открыть все ответы
Ответ:
Х км/ч - скорость 2-ого грузовика, т. к. через 2 часа (10ч-8ч) расстояние между ними было 4 км, то возможно 2-а варианта решения:
1. если скорость второго меньше скорости первого
50-х=4/2
50-х=2
х=48 км/ч
2. если скорость второго больше скорости первого
х-50=4/2
х-50=2
х=52 км/ч
если один грузовик двигался со скоростью 50 км/ч, то другой мог двигаться со скоростью 48 и 52 км/ч
1 случай, когда первый обогнал второго на 4 км:
тогда второй проехал 50*2=100 км
а первый 100+4=104 км и 104/2=52 км/ч - это и будет его скорость
2 случай, когда первый грузовик отстал от второго на 4 км:
тогда второй проехал 50*2=100 км
а первый 100-4=96 км и 96/2=48 км/ч - это и будет его скорость
ответ: 52 км/ч в первом случае и 48 км/ч во втором случае.
4,5(12 оценок)
Ответ:
hizubro
hizubro
10.09.2021
Составим уравнения по нашим данным.
Пусть кол-во машин, которое было на второй автостоянке равно А, тогда если "на первой автостоянке машин было т, что на 2 машины меньше, чем на второй", это говорит о том, что на второй автостоянке было на 2 машины больше, чем на первой, т.е.:
А=т+2

"... и в 3 раза меньше, чем на третьей". Т.е. на третьей автостоянке в 3 раза больше машин, чем на первой. Пусть кол-во машин на третьей автостоянке равно С. Получаем:
С=3*т

Полное кол-во машин с 3х стоянок пусть будет = М, тогда:
М=т+А+С=т+(т+2)+3т=т+т+2+3т=5т+2.
4,4(81 оценок)
Новые ответы от MOGZ: Математика
logo
Вход Регистрация
Что ты хочешь узнать?
Спроси Mozg
Открыть лучший ответ