М
Молодежь
К
Компьютеры-и-электроника
Д
Дом-и-сад
С
Стиль-и-уход-за-собой
П
Праздники-и-традиции
Т
Транспорт
П
Путешествия
С
Семейная-жизнь
Ф
Философия-и-религия
Б
Без категории
М
Мир-работы
Х
Хобби-и-рукоделие
И
Искусство-и-развлечения
В
Взаимоотношения
З
Здоровье
К
Кулинария-и-гостеприимство
Ф
Финансы-и-бизнес
П
Питомцы-и-животные
О
Образование
О
Образование-и-коммуникации
tanyalaim20061
tanyalaim20061
20.08.2021 11:21 •  Математика

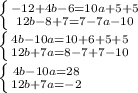
Решите {-4(3-b)-6=5(2a+1)+5 {2(3b-4)+7=7(1-a)-10 это один пример

👇
Ответ:
Анюта4111111
Анюта4111111
20.08.2021
\left \{ {{-12+4b-6=10a+5+5} \atop {12b-8+7=7-7a-10}} \right. \\ 
 \left \{ {{4b-10a=10+6+5+5} \atop {12b+7a=8-7+7-10}} \right. \\ 
 \left \{ {{4b-10a=28} \atop {12b+7a=-2}} \right.

4b=28+10a
b=7+10a/4
12(7+10a/4)+7a=-2
84+30a+7a=-2
37a=-84-2
a=-86/37

b=7+10*(-86/37:4)
b=44/37

дробные получились, может где то ошибка в задании?
4,4(95 оценок)
Открыть все ответы
Ответ:
zvon007
zvon007
20.08.2021
1.
1) 8 : 0,16 = 8 : 4/25 = 8 × 25/4 = 50
2) 3 3/4 × 6,4 = 15/4 × 6 4/10 = 15/4 × 64 = 240
3) 50 - 240 = -190 (?) сомневаюсь... возможно ошибка в первом действии или в самом примере.
2.
1) 6,25 × 8 = 50
2) 3 3/2 : 5,5 = 3 3/2 : 5 1/2 = 9/2 : 11/2 = 9/2 × 2/11 = 9/11
3) 2,4 × 4 7/12 = 2 2/5 × 4 7/12 = 12/5 × 55/12 = 11
4) 50 - 9/11 = 49 11/11 - 9/11 = 49 2/11
5) 49 2/11 + 11 = 60 2/11
3.
1) 1 2/5² = 1 2/5 × 1 2/5 = 7/5 × 7/5 = 14/25
2) 14/25 - 1,6 = 14/25 - 1 3/5 = 14/25 - 8/5 = 14/25 - 40/25 = ?
Сомневаюсь в первом и последнем примере, совсем не знаю, может, это я уже от недосыпа не могу решить? Во всяком случае, второй решён, если сама догадаешься, отпишись мне
4,4(86 оценок)
Ответ:
chackandrew
chackandrew
20.08.2021
1 задача, ты совершенно не объяснил что делать. 
2 я решу:

Для того что бы найти уравнение касательной к графику функции, нужно:

Найти производную f'(x_{0} )
Из полученной производной, делаем уравнение: y= f(x_{0})+f'(x_{0})(x-x_{0})
И это и есть уравнение касательной, а теперь, перейдем к решению:

Найдем производную функции f(x)=x^3
Это простая степенная функция, а в каждой степенной функции, производную находят так: ax^a^-^1 - где а- степень
В нашей 3 степени: f'(x)= 3x^2 - вот такая вот производная

Дальше делаем так:

y=f(3)+f'(3)(x-3)
 
Вначале найдем значение функции f(x)=x^3 в точке x_{0}:

f(3)= 3^3= 9

И получаем следующее: 
y=9+3*9^2*(x-9)
y=9+3*(3^2)^3-27x^2
y= 738-27x^2
Ну если упростить, получим:
y=3(-3x^2+82) - это и есть касательная в ДАННОЙ точке.

Не со всем правильно я где то решил, но суть та же, а касательная : y=27x-54
4,5(9 оценок)
Новые ответы от MOGZ: Математика
logo
Вход Регистрация
Что ты хочешь узнать?
Спроси Mozg
Открыть лучший ответ