М
Молодежь
К
Компьютеры-и-электроника
Д
Дом-и-сад
С
Стиль-и-уход-за-собой
П
Праздники-и-традиции
Т
Транспорт
П
Путешествия
С
Семейная-жизнь
Ф
Философия-и-религия
Б
Без категории
М
Мир-работы
Х
Хобби-и-рукоделие
И
Искусство-и-развлечения
В
Взаимоотношения
З
Здоровье
К
Кулинария-и-гостеприимство
Ф
Финансы-и-бизнес
П
Питомцы-и-животные
О
Образование
О
Образование-и-коммуникации
laktionovapolyp0cghd
laktionovapolyp0cghd
20.03.2020 12:47 •  Математика

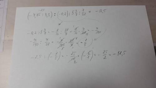
(-7.75: 3.1): =-0.2: 5 целых3/7: 7/38

👇
Ответ:
Надеюсь правильно, знаю небрежно)
(-7.75: 3.1): =-0.2: 5 целых3/7: 7/38
4,6(71 оценок)
Ответ:
tim14stefan24
tim14stefan24
20.03.2020
Надеюсь понятно решение
(-7.75: 3.1): =-0.2: 5 целых3/7: 7/38
4,7(70 оценок)
Открыть все ответы
Ответ:
lebedd50
lebedd50
20.03.2020
У Стародавньому Китаї вже користувалися десятковою системою заходів, позначали дріб словами, використовуючи міри довжини чі: цуни, частки, порядкові, шерстинки, найтонші, павутинки. Дріб виду 2,135436 виглядала так: 2 чі, 1 цунь, 3 частки, 5 порядкових, 4 шерстинки, 3 найтонших, 6 павутинок. Так записувалися дробу протягом двох століть, а в V столітті китайський вчений Цзю-Чун-Чжі прийняв за одиницю не чі, а чжан = 10 чі, тоді ця дріб виглядала так: 2 чжана, 1 чі, 3 цуня, 5 часток, 4 порядкових, 3 шерстинки, 6 найтонших, 0 павутинок.

Попередниками десяткових дробів були шестидесятеричные дробу древніх вавілонян. Деякі елементи десяткового дробу зустрічаються в працях багатьох вчених Європи 12, 13, 14 століттях.

Десятковий дріб з до цифр і певних знаків спробував записати арабський математик ал-Уклисиди в X столітті. Свої думки з цього приводу він висловив в "Книзі розділів про індійську арифметику".

В XV столітті, в Узбекистані, поблизу міста Самарканда жив математик і астроном Джемшид Гиясэддин ал-Каші (дата народження невідома) . Він гав за рухом зірок, планет і Сонця, у цій роботі йому необхідні були десяткові дроби. Ал-Каші написав книгу "Ключ арифметики" (була видана в 1424 році) , в якій він показав запис дробу в один рядок числами в десятковій системі і дав правила дії з ними. Вчений користувався декількома написання дробу: то він застосовував вертикальну риску, то чорнило чорного і червоного кольорів. Але ця праця до європейських учених своєчасно не дійшов.

Приблизно в цей же час математики Європи також намагалися знайти зручну запис десяткового дробу. У книзі "Математичний канон" французького математика Ф. Вієта (1540-1603) десятковий дріб записана так 2 135436 - дробова частина і підкреслювалася і записувалася вище рядки цілої частини числа.

У 1585 р. , незалежно від ал-Каші, фламандський вчений Симон Стевіном (1548-1620) зробив важливе відкриття, про що написав у своїй книзі "Десята" (французькою мовою "De Thiende, La Disme"). Ця маленька робота (всього 7 сторінок) містила пояснення запису і правил дій з десятковими дробами. Він писав цифри дробового числа в один рядок з цифрами цілого числа, при цьому нумерючи їх. Наприклад, число 12,761 записувалося так:

12076112

або число 0,3752 записувалося так:

3752.

Саме Стевина і вважають винахідником десяткових дробів.

Кома в запису дробів вперше зустрічається в 1592г. , а в 1617г. шотландський математик Джон не пер запропонував відокремлювати десяткові знаки від цілого числа або комою або крапкою.

Сучасну запис, тобто відділення цілої частини коми, запропонував Кеплер (1571) - (1630 рр..).

У країнах , де говорять по-англійськи (Англія, США, Канада та ін) , і зараз замість коми пишуть крапку, наприклад: 2.3 і читають: два точка три.
4,7(58 оценок)
Ответ:
ernarsailaubek
ernarsailaubek
20.03.2020
Ладанник
крымский
-
растение
перекрестноопыляющееся.
Цветет
в
мае- июне. Зимостойкое и
засухоустойчивое. Характеризуется
низким количеством смолы
(смолистостью) - 2-4%.
Ладанник благородный (С.
ladaniferus L .) - компактный куст
высотой 100-150 см и диаметром 50-
70 см. Стебель внизу коричневый,
вверху зеленовато-коричневый с
антоциановой верхушкой. Листья
длин-нозаостренные, без черешков,
очень блестящие, кожистые,
липкие, длиной 5,5 см и шириной
1,2 см; жилко-вание сетчатое,
выражено слабо. Ветвистость
средняя, облиственность слабая.
Цветки верхушечные, одиночные,
белые, с пятью лепестками,
диаметром 8,5-9 см; тычинок много;
пестик один, сидячий. Пыльца
золотисто-желтого цвета. Семена
мелкие, слегка угловатые,
красновато-коричневые.
Ладанник благородный - растение
перекрестноопыляющееся.
Цветение начинается в середине
мая и продолжается до середины
июня. Смолистость очень низкая.
Лучше всего растет на высоте 30-70
м над уровнем моря, выше он
подмерзает.
4,5(10 оценок)
Новые ответы от MOGZ: Математика
logo
Вход Регистрация
Что ты хочешь узнать?
Спроси Mozg
Открыть лучший ответ