М
Молодежь
К
Компьютеры-и-электроника
Д
Дом-и-сад
С
Стиль-и-уход-за-собой
П
Праздники-и-традиции
Т
Транспорт
П
Путешествия
С
Семейная-жизнь
Ф
Философия-и-религия
Б
Без категории
М
Мир-работы
Х
Хобби-и-рукоделие
И
Искусство-и-развлечения
В
Взаимоотношения
З
Здоровье
К
Кулинария-и-гостеприимство
Ф
Финансы-и-бизнес
П
Питомцы-и-животные
О
Образование
О
Образование-и-коммуникации
alenamalaya20
alenamalaya20
20.05.2023 03:12 •  Математика

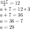
Решите уравнение frac {a+7}{3}=12

👇
Ответ:
borisrrvdow9kk7
borisrrvdow9kk7
20.05.2023
\frac{a + 7}{3} = 12 \\ a + 7 = 12 * 3 \\ a + 7 = 36 \\ a = 36 - 7 \\ a = 29
4,7(92 оценок)
Открыть все ответы
Ответ:
Polina300696
Polina300696
20.05.2023
Как я проявляю доброту?
Доброта есть в каждом . В ком -то она глубоко зарыта , а в ком то плещет фонтаном .  Доброта в каждом хорошем поступке  , в каждой искренней улыбке . Улыбаясь и говоря комплименты маме я совершаю добрый поступок первокласснику подсказать где нужный кабинет , я тоже совершаю добрый поступок . Но добрый поступок становится добрым тогда , когда его делают бескорыстно . Зимой я кормлю птиц , делаю им кормушки , а когда я звоню бабушке ? Разве это не добрый поступок ? Делая добро мы становимся лучше .
4,4(45 оценок)
Ответ:
киса798
киса798
20.05.2023
Как я проявляю доброту?
Доброта есть в каждом . В ком -то она глубоко зарыта , а в ком то плещет фонтаном .  Доброта в каждом хорошем поступке  , в каждой искренней улыбке . Улыбаясь и говоря комплименты маме я совершаю добрый поступок первокласснику подсказать где нужный кабинет , я тоже совершаю добрый поступок . Но добрый поступок становится добрым тогда , когда его делают бескорыстно . Зимой я кормлю птиц , делаю им кормушки , а когда я звоню бабушке ? Разве это не добрый поступок ? Делая добро мы становимся лучше .
4,7(79 оценок)
Новые ответы от MOGZ: Математика
logo
Вход Регистрация
Что ты хочешь узнать?
Спроси Mozg
Открыть лучший ответ