М
Молодежь
К
Компьютеры-и-электроника
Д
Дом-и-сад
С
Стиль-и-уход-за-собой
П
Праздники-и-традиции
Т
Транспорт
П
Путешествия
С
Семейная-жизнь
Ф
Философия-и-религия
Б
Без категории
М
Мир-работы
Х
Хобби-и-рукоделие
И
Искусство-и-развлечения
В
Взаимоотношения
З
Здоровье
К
Кулинария-и-гостеприимство
Ф
Финансы-и-бизнес
П
Питомцы-и-животные
О
Образование
О
Образование-и-коммуникации
ksenia5051
ksenia5051
21.01.2022 07:55 •  Математика

Решить (x+2,+7,8)= -(7,2-y)+(-y+1,6)=❤️❤️

👇
Ответ:
андрей2096
андрей2096
21.01.2022
.............................

Решить (x+2,+7,8)= -(7,2-y)+(-y+1,6)=❤️❤️
4,6(31 оценок)
Ответ:
87348732
87348732
21.01.2022
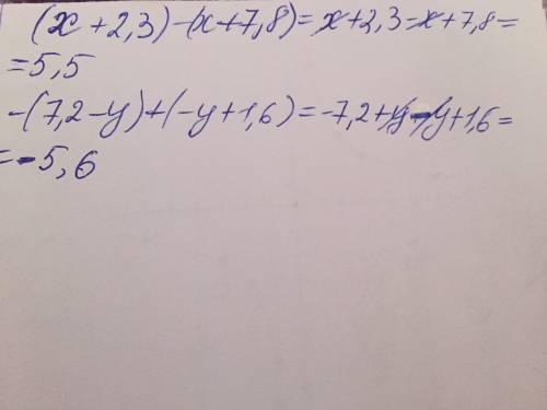
1) ответ 5,5
2) ответ -5,6
Решить (x+2,+7,8)= -(7,2-y)+(-y+1,6)=❤️❤️
4,4(19 оценок)
Открыть все ответы
Ответ:
никита3343
никита3343
21.01.2022
1. 102ЄN
-1050, 0, 102 Є Z
2. Множество двухзначных чисел - конечное множество
Множество чётных чисел - бесконечное множество.
3. а) N подмножество Д, б) А подмножество Д, в) В подмножество N
а) N и R пересечение 1, 2 
N и А пересечение - нет
N и В пересечение 1; 2; 3
N и Д пересечение 1; 2; 3
А и В пересечение - нет
А и Д пересечение -0,5; 0; 0,5
В и R пересечение 1; 2
А и В объединение -0,5; 0; 0,5; 1; 2; 3; 4; 5
R и N объединение 0; 0,5; 1; 1,5; 2; 3
R и В объединение 0; 0,5; 1; 1,5; 2; 3; 4; 5
4. Множеством чётных чисел A  являются числа кратные 2→а=2*n
Множество чисел В являются числа кратные 3 в=3*n
A и В пересечение а*в=2*3*n
A и В объединение 2*n; 3*n
5. 15-1=14 девочек занимаются музыкой и танцами.
10+9=19 мест на музыке и на танцах занимают девочки.
19-14=5 девочек занимаются и музыкой и танцами.
6. 4!=24
7. 3!=6
а) на 2, когда число заканчивается на 6 или на 8 - 2^2=4 числа
б) на 4, 4/2=2 числа
в) на 3 - сумма цифр 1+6+8=15 делится на 3, все 6 чисел кратны 3.
г) на 6 - все чётные числа - 4 числа.
8. 7!/3!=840
9. С(1 по 4)+С(2 по 4)+С(3 по 4)+С(4 по
10. 3!=6+1=7  (1; 2; 3; 2,3; 1,3; 1,2, и 1,2,3)
4,5(99 оценок)
Ответ:
BogdanVeres
BogdanVeres
21.01.2022
Например:
1) S=5*3=15 квадратных клеток;
2) S=3*5=15 квадратных клеток;
3) можно по горизонтали разделить прямоугольник, например, на три части. площадь каждой - 5*1=5 квадартных клеток, значит общая площадь = 5*3=15 квадратных клеток;
4) Тоже, но по вертикали на 5 частей. Площадь каждой из пяти - 3 квадратной клетки, суммарная = 3*5=15 квадратных клеток;
5) Можно просто посчитать все клетки. Их будет 15.
Если речь идет о тетрадных клетках и ответ хочешь дать в см, то в одном кв. см. 4 квадратных клетки, то есть площадь всюду будет 15/4=3,75 кв. см.
Удачи!
4,6(29 оценок)
Новые ответы от MOGZ: Математика
logo
Вход Регистрация
Что ты хочешь узнать?
Спроси Mozg
Открыть лучший ответ