М
Молодежь
К
Компьютеры-и-электроника
Д
Дом-и-сад
С
Стиль-и-уход-за-собой
П
Праздники-и-традиции
Т
Транспорт
П
Путешествия
С
Семейная-жизнь
Ф
Философия-и-религия
Б
Без категории
М
Мир-работы
Х
Хобби-и-рукоделие
И
Искусство-и-развлечения
В
Взаимоотношения
З
Здоровье
К
Кулинария-и-гостеприимство
Ф
Финансы-и-бизнес
П
Питомцы-и-животные
О
Образование
О
Образование-и-коммуникации

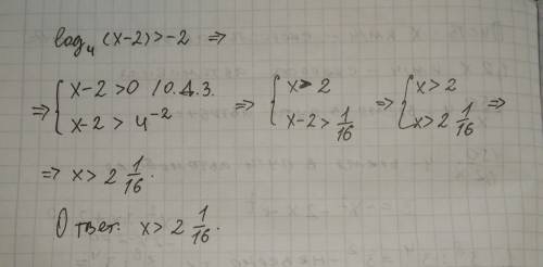
Решите неравенство: log4 (x-2) > -2

👇
Ответ:
Yutik
Yutik
24.07.2021
Решение задания в прикреплённом файле.
Решите неравенство: log4 (x-2) > -2
4,8(65 оценок)
Открыть все ответы
Ответ:
castlecrashers
castlecrashers
24.07.2021
В темное время суток используются фонари, лампы, свечи; по возможности, находитесь в заглубленном укрытии, в погребах и т.п.
Если ураган, буря застали Вас на улицах населенного пункта, держитесь как можно дальше от легких построек, зданий, мостов, эстакад, линий электропередачи, мачт, деревьев, рек, озер и промышленных объектов.
Для защиты от летящих обломков и осколков стекла используйте листы фанеры, картонные и пластмассовые мешки, доски и другие подручные средства. Старайтесь быстрее укрыться в подвалах, погребах. Не заходите в поврежденные здания, так как они могут обрушиться при новых порывах ветра.
Избегайте ситуаций, при которых возрастает вероятность поражения молнией.
При снежной буре укрывайтесь в зданиях. Если Вы оказались в поле или на проселочной дороге, выходите на магистральные дороги, которые периодически очищаются и где большая вероятность оказания Вам
При пыльной буре закройте лицо марлевой повязкой, платком, куском ткани, а глаза очками.
4,6(41 оценок)
Ответ:
iirunka153
iirunka153
24.07.2021
Туберкулез - заболевание легких, передается воздушно-капельным путем. Возникают из-за бактерий, называемых палочкой Коха.
Здоровые люди могут заразиться туберкулезом. Многие считают, что его стоит бояться наркоманам и курильщикам, но это далеко не так. Даже здоровый человек подвержен палочкам Коха.
Тем более, мы не можем знать наверняка, кто им болеет, ведь существует две формы туберкулеза - закрытая и открытая. Закрытая форма протекает безболезненно, человек даже может не знать о существовании болезни, но она и не такая опасная - при закрытой форме болезнь не передается.
При открытой форме с выделениями человека наружу выделяется и сами болезнетворные бактерии.
Мой доктор говорил, что мы не сможем защититься от него на все сто. Просто вести здоровый образ жизни недостаточно, ведь мы, к примеру, ездим в транспорте и не знаем, кто какими заболеваниями болеет. Поэтому каждый человек должен ежегодно делать флюрографию и манту для профилактики,  дабы уберечь себя от этой болезни.
К слову, курильщики и люди, переболевшие какими-либо заболеваниями легких (коклюш, например) или же со слабым иммунитетом больше подвержены палочкам Коха, так как организм не такой сильный, как у здорового человека.
4,8(18 оценок)
Новые ответы от MOGZ: Математика
logo
Вход Регистрация
Что ты хочешь узнать?
Спроси Mozg
Открыть лучший ответ