М
Молодежь
К
Компьютеры-и-электроника
Д
Дом-и-сад
С
Стиль-и-уход-за-собой
П
Праздники-и-традиции
Т
Транспорт
П
Путешествия
С
Семейная-жизнь
Ф
Философия-и-религия
Б
Без категории
М
Мир-работы
Х
Хобби-и-рукоделие
И
Искусство-и-развлечения
В
Взаимоотношения
З
Здоровье
К
Кулинария-и-гостеприимство
Ф
Финансы-и-бизнес
П
Питомцы-и-животные
О
Образование
О
Образование-и-коммуникации
Zaya191
Zaya191
20.11.2022 23:34 •  Математика

(1- 4sin^2x*cos^2x)/((sinx+cosx)^2 ) -2cosx*sin(-x)=1 , надо

👇
Ответ:
negfhbr
negfhbr
20.11.2022
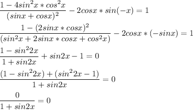
\displaystyle \frac{1-4sin^2x*cos^2x}{(sinx+cosx)^2}-2cosx*sin(-x)=1\\\\ \frac{1-(2sinx*cosx)^2}{(sin^2x+2sinx*cosx+cos^2x)}-2cosx*(-sinx)=1\\\\ \frac{1-sin^22x}{1+sin2x} +sin2x-1=0\\\\ \frac{(1-sin^22x)+(sin^22x-1)}{1+sin2x}=0 \\\\ \frac{0}{1+sin2x}=0

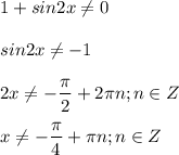
справедливо для любых х кроме

\displaystyle 1+sin2x \neq 0\\\\sin2x \neq -1\\\\2x \neq - \frac{ \pi }{2}+2 \pi n; n\in Z\\\\x \neq - \frac{ \pi }{4}+ \pi n; n\in Z
4,6(69 оценок)
Открыть все ответы
Ответ:
Malika89551
Malika89551
20.11.2022
 Чтобы сложить два числа с разными знаками, надо:    

          1)   из большего модуля слагаемых вычесть меньший;    

          2)   поставить перед полученным числом знак того слагаемого,  
                модуль   которого   больше.    

      Например:  

                                          7 > 4  

                      4 + ( – 7)       =       – ( 7   –   4 )   =   – 3 ;    

                                          13 > 7  

                    13 + ( – 7)         =         + ( 13   –   7 )   =   6 ;    

                                          13 > 14  

                – 13   +   14           =         – ( 13   –   14)       =     – ( 412   –   312)     =     – 112 .    
4,4(27 оценок)
Ответ:
Dhcfyfhffdh
Dhcfyfhffdh
20.11.2022
Vm=24 км/ч
Vv=15 км/ч

За 4 часа каждый из них уехал на расстояние равное:
Мотоциклист 24*4=96 км
велосипедист 15*4=60 км
И затем у мотоциклиста заглох двигатель, после того как он его почсенил, он через час догнал велосипедиста, следовательно расстояние на которое удалился велосипедист от поломонного мотоциклиста за 1 Час, численно равно разности скоростей 24-15=9 км

А расстояние которое велосипедист после поломки равно + расстояние которое мотоциклист догонял его составило:
96-60+9=45 км

А чтобы узнать время которое он чинил мотоцикл, мы расстояние которое велосипедист за время поломки мотоциклиста с догоном, разделим на скорость и вычтим 1 час Получим ответ!
45/15-1=2 часа он Чинил свой мотоцикл!
4,5(7 оценок)
Новые ответы от MOGZ: Математика
logo
Вход Регистрация
Что ты хочешь узнать?
Спроси Mozg
Открыть лучший ответ