М
Молодежь
К
Компьютеры-и-электроника
Д
Дом-и-сад
С
Стиль-и-уход-за-собой
П
Праздники-и-традиции
Т
Транспорт
П
Путешествия
С
Семейная-жизнь
Ф
Философия-и-религия
Б
Без категории
М
Мир-работы
Х
Хобби-и-рукоделие
И
Искусство-и-развлечения
В
Взаимоотношения
З
Здоровье
К
Кулинария-и-гостеприимство
Ф
Финансы-и-бизнес
П
Питомцы-и-животные
О
Образование
О
Образование-и-коммуникации
Maykaktys
Maykaktys
09.07.2021 03:27 •  Математика

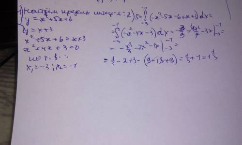
Найти площадь фигуры ограниченной параболой у=x^2+5х+6,у=х+3

👇
Ответ:
evgenijstepano
evgenijstepano
09.07.2021
Решение дано на фото.
Найти площадь фигуры ограниченной параболой у=x^2+5х+6,у=х+3
4,5(34 оценок)
Открыть все ответы
Ответ:
Daniel200011
Daniel200011
09.07.2021

L=3*24=72 см

S=1728 см²

Пошаговое объяснение:

n=3 - это, наверное, число "Пи"? Ну тогда очень просто.

1. Длина окружности

Формула для вычисления длины окружности:

L=π*D, ("Эль равно Пи умноженное на Дэ) где

L - длина окружности (если диаметр в см, то и длина в см)

π - число Пи, π≈3 (приблизительно равно трем, на самом деле число Пи немного больше)

D - диаметр окружности, см

L=3*24=72 (см)

2. Площадь круга.

Формула для вычисления площади круга:

S=π*D*D/4=πD²/4, ("Эс равно Пи Дэ квадрат деленное на 4"), где

S - площадь круга, см²

S=3*24²=3*576=1728 (см²)

4,8(3 оценок)
Ответ:
FYBKF
FYBKF
09.07.2021

2100 дм².

Пошаговое объяснение:

1-й вычитание из площади, рассчитанной по размерам внешнего контура.

1) Площадь, рассчитанная по размерам внешнего контура:

60 * 50 = 3000 дм² .

2) Вычитаемая площадь - это прямоугольник со сторонами:

АК = ВС - МД = 60-30 = 30 дм,

КМ = СД - ВА = 50-20 = 30 дм.

30 * 30 = 900 дм².

3) Площадь заштрихованной фигуры АВСДМК:

3000-900=2100 дм².

2-й суммирование площадей.

АВСДМК состоит из 2-х прямоугольников со сторонами:

1) ВА=20 дм и АК = ВС-МД = 60-30=30 дм; площадь этого прямоугольника равна:

20*30 = 600 дм²;

2) МД = 30 дм и СД = 50 дм; площадь этого прямоугольника равна:

30 * 50 = 1500 дм²;

Таким образом общая площадь АВСДМК равна:

600 + 1500 = 2100 дм².

Мы получили такой же результат.

4,6(57 оценок)
Новые ответы от MOGZ: Математика
logo
Вход Регистрация
Что ты хочешь узнать?
Спроси Mozg
Открыть лучший ответ