М
Молодежь
К
Компьютеры-и-электроника
Д
Дом-и-сад
С
Стиль-и-уход-за-собой
П
Праздники-и-традиции
Т
Транспорт
П
Путешествия
С
Семейная-жизнь
Ф
Философия-и-религия
Б
Без категории
М
Мир-работы
Х
Хобби-и-рукоделие
И
Искусство-и-развлечения
В
Взаимоотношения
З
Здоровье
К
Кулинария-и-гостеприимство
Ф
Финансы-и-бизнес
П
Питомцы-и-животные
О
Образование
О
Образование-и-коммуникации
счастье101
счастье101
11.10.2020 07:11 •  Математика

Решить систему, много . {3х-2у=10 {-3х-10у=14

👇
Ответ:
lapyukdima
lapyukdima
11.10.2020
Решение смотри на фотографии.

Удачи с учебой!
Решить систему, много . {3х-2у=10 {-3х-10у=14
4,4(74 оценок)
Ответ:
Renavalion
Renavalion
11.10.2020
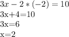
\left \{ {{3x-2y=10} \atop {-3x-10y=14}} \right. 


_______________________
-12y=24
y=-2

3x-2*(-2)=10

3x+4=10

3x=6

x=2

ответ: х=2, у=-2
4,7(34 оценок)
Открыть все ответы
Ответ:
Simps0n
Simps0n
11.10.2020
См. рис. в приложении.
Обозначим α - угол между диагоналями АС и BD,
по свойствам параллелограмма
∠NKL=∠NML=α.

Пусть КL=4x,  LM=5x, тогда KL : LM = 4 : 5;
АС=2у, BD=3y,  тогда AС: BD= 2 : 3.

Δ CML  подобен  Δ CBD ( LM ║ BD).
Из подобия
СL : CB = LM :  BD = 5x : 3y ⇒  (СB-LB) : CB= 5x : 3y⇒ LB : CB=1-(5x/3y)

Δ BKL подобен Δ АВС ( KL ║ AC).
Из подобия
BK: BA= КL :  AC = 4x : 2у = 2х : у
и
BK: BA= BL: BC
2x/y=1-(5x/3y)
x : y=3:11.

S( KLMN) : S ( ABCD)=(KL·LM·sinα) : (AC·BD·sinα/2)=

=(4x·5x·sinα) : (2y·3y·sinα/2)=20x² : 3y²=(10/3)·(x/y)²=(20/3)·9/121=60/121

О т в е т. 60 : 121.

На сторонах четырехугольника abcd взяты точки k,l,m,n так, что четырехугольник klmn - параллелограмм
4,5(34 оценок)
Ответ:
ботаник041
ботаник041
11.10.2020
Дано линейное уравнение:
12.8-((17/5)+x)/(3/2) = (34/5)
Раскрываем скобочки в левой части ур-ния
12.8-17/5+x)/3/2 = (34/5)
Раскрываем скобочки в правой части ур-ния
12.8-17/5+x)/3/2 = 34/5
Приводим подобные слагаемые в левой части ур-ния:
10.5333333333333 - 2*x/3 = 34/5
Переносим свободные слагаемые (без x)
из левой части в правую, получим:
-2*x/3 + 3.5527136788005e-14 = -3.7333333333333
Разделим обе части ур-ния на (3.5527136788005e-14 - 2*x/3)/x
x = -3.7333333333333 / ((3.5527136788005e-14 - 2*x/3)/x)
Получим ответ: x = 5.6
4,8(44 оценок)
Это интересно:
Новые ответы от MOGZ: Математика
logo
Вход Регистрация
Что ты хочешь узнать?
Спроси Mozg
Открыть лучший ответ