М
Молодежь
К
Компьютеры-и-электроника
Д
Дом-и-сад
С
Стиль-и-уход-за-собой
П
Праздники-и-традиции
Т
Транспорт
П
Путешествия
С
Семейная-жизнь
Ф
Философия-и-религия
Б
Без категории
М
Мир-работы
Х
Хобби-и-рукоделие
И
Искусство-и-развлечения
В
Взаимоотношения
З
Здоровье
К
Кулинария-и-гостеприимство
Ф
Финансы-и-бизнес
П
Питомцы-и-животные
О
Образование
О
Образование-и-коммуникации
mrrur99
mrrur99
17.06.2020 03:46 •  Математика

Вычислите сумму корней уравнения 3корень из x^2-2x=2

👇
Ответ:
ekaterinasolda
ekaterinasolda
17.06.2020
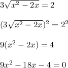
3 \sqrt{x^2-2x} =2 \\ \\( 3 \sqrt{x^2-2x} )^2=2^2 \\ \\ 9(x^2-2x)=4 \\ \\ 9x^2-18x-4=0 \\ \\

Так как нужно найти не сами корни, а их сумму, то быстрее всего воспользоваться теоремой Виета:
Для квадратного уравнения: 
 ax^2+bx+c=0, \ \ a \neq 0

справедливо:

\left \{ {{x_1*x_2= \frac{c}{a} } \atop {x_1+x_2= -\frac{b}{a} }} \right.

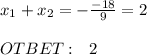
То есть 
x_1+x_2=- \frac{-18}{9} =2 \\ \\ OTBET: \ \ 2

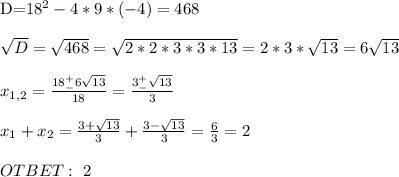
найдем корни уравнения через дискриминант, а затем найдем их сумму


 D=18^2-4*9*(-4)=468 \\ \\ \sqrt{D}= \sqrt{468}= \sqrt{2*2*3*3*13} =2*3* \sqrt{13} =6 \sqrt{13} \\ \\ x_{1,2}= \frac{18^+_-6 \sqrt{13}}{18} =\frac{3^+_- \sqrt{13}}{3} \\ \\ x_1+x_2=\frac{3+\sqrt{13}}{3} +\frac{3-\sqrt{13}}{3} = \frac{6}{3}=2 \\ \\ OTBET: \ 2
4,7(9 оценок)
Открыть все ответы
Ответ:
89521706957
89521706957
17.06.2020
1) Скорость Есима 5 км/час, т.е. за 3 часа он пройдет S=v*t=3*5=15 км, также Есим опережает Касыма на 2 км, т.е. S=15+2=17 км.
Касым двигается 4 км/час, т.е. за 3 часа он пройдет S=4*3=12 км
Т.е. через 3 часа расстояние между Есимом и Касыном будет: S=17-12= 5 км
ответ: через 3 часа Есим опередит Касыма на 5 км.

2) Скорость Есима 5 км/час, т.е. за 4 часа он пройдет S=v*t=4*5=20 км, также Есим опережает Касыма на 2 км, т.е. S=20+2=22 км.
Касым двигается 4 км/час, т.е. за 4 часа он пройдет S=4*4=16 км
Т.е. через 4 часа расстояние между Есимом и Касыном будет: S=22-16= 6 км
ответ: через 4 часа Есим опередит Касыма на 6 км.
Касым Есима не сможет догнать.
4,7(51 оценок)
Ответ:
nasik134
nasik134
17.06.2020
1) 24 : 3 = 8(км/ч) - собственная скорость лодки
2) 24 : 2 = 12(км/ч) - скорость лодки по течению
3) 12 - 8 = 4(км/ч) - скорость течения.

1) 100% - 40% = 60% (изучают английский)
2) 69% = 0,6
    300 : 0,6 = 500 (учеников) в школе

1) 20*20*20 = 8000(куб.см) - объём куба
2) 5 * 5 * 5  = 125(куб.см) - объём кубика
3) 8000 : 125 = 64(маленьких кубика) получили
4) 5см * 5 = 25(см) - длина параллелепипеда
5) 5см * 4 = 20(см) - ширина   ---"""
6) 5см* 3 = 15(см) высота       ---"""
7) 25 * 20 * 15 = 7500 (куб.см) - объём параллелепипеда
8) 7500 : 125 = 60 (кубиков) пошло на параллелепипед
9) 64 - 60 = 4 (кубика) осталось

Страниц < 600;  страница - трёхзначное число; все цифры разные.
Первая цифра не может быть числом нечётным (1,3,5) убираем сразу.
Остаётся 4 - это первая цифра в трёхзначном числе.
2 является делителем 4, значит вторая цифра - это 2
Третья цифра - это 1 (потому что является делителем 2
Итак, получилась страница: 421 - все условия задачи соблюдены 
4,4(85 оценок)
logo
Вход Регистрация
Что ты хочешь узнать?
Спроси Mozg
Открыть лучший ответ