М
Молодежь
К
Компьютеры-и-электроника
Д
Дом-и-сад
С
Стиль-и-уход-за-собой
П
Праздники-и-традиции
Т
Транспорт
П
Путешествия
С
Семейная-жизнь
Ф
Философия-и-религия
Б
Без категории
М
Мир-работы
Х
Хобби-и-рукоделие
И
Искусство-и-развлечения
В
Взаимоотношения
З
Здоровье
К
Кулинария-и-гостеприимство
Ф
Финансы-и-бизнес
П
Питомцы-и-животные
О
Образование
О
Образование-и-коммуникации
ASabina1111111
ASabina1111111
04.07.2021 01:35 •  Математика

(неопр. интеграл) | sin2x * sin9x*dx

👇
Ответ:
Viktoria818
Viktoria818
04.07.2021
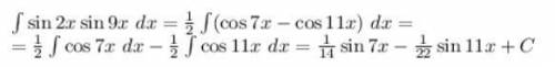
\int \sin2x \sin 9x\ dx = \frac{1}{2} \int (\cos 7x - \cos 11x)\ dx =\\
= \frac{1}{2} \int \cos 7x \ dx - \frac{1}{2} \int \cos 11x \ dx = \frac{1}{14} \sin 7x - \frac{1}{22} \sin 11x +C
(неопр. интеграл) | sin2x * sin9x*dx
4,6(48 оценок)
Открыть все ответы
Ответ:
King20051
King20051
04.07.2021
                            Масса                        Количество                    Всего кг
                        1 коробки                         коробок           

Конфеты           ? , на 3кг больше І         6                                    ?кг
                                                           І
Печенье             ?кг                    <--          3                                   15кг

1)15:3=5(кг) - масса 1 коробки с печеньем
2) 5+3=8(кг) - масса 1 коробки с конфетами
3) 8*6=48(кг) - масса 6 коробок с конфетами
4,7(94 оценок)
Ответ:
innapuna8
innapuna8
04.07.2021
Первое - приводим к общему знаменателю, делаем действия с числителями, оставляя общий знаменатель
сложим 3/8+3/5
1) приводим к общему знаменателю
3/8=15/40      3/5=24/40
2) складываем числители при общем знаменателе
(15+24)/40=39/40
при необходимости сокращаем, выделяем целую часть и т.д.
сложим 17/20+15/16
17/20=68/80        15/16=75/80
(68+75)/80=143/80=1 63/80
вычтем 15/16-3/4    здесь общий знаменатель 16, значит к нему приводим только 3/4=12/16
(15-12)/16=3/16
вычтем 1/2-4/5
1/2=5/10             4/5=8/10
(5-8)/10=-3/10
может, не очень понятно, но я не учитель. Объяснил, как смог!
4,4(75 оценок)
Это интересно:
Новые ответы от MOGZ: Математика
logo
Вход Регистрация
Что ты хочешь узнать?
Спроси Mozg
Открыть лучший ответ