М
Молодежь
К
Компьютеры-и-электроника
Д
Дом-и-сад
С
Стиль-и-уход-за-собой
П
Праздники-и-традиции
Т
Транспорт
П
Путешествия
С
Семейная-жизнь
Ф
Философия-и-религия
Б
Без категории
М
Мир-работы
Х
Хобби-и-рукоделие
И
Искусство-и-развлечения
В
Взаимоотношения
З
Здоровье
К
Кулинария-и-гостеприимство
Ф
Финансы-и-бизнес
П
Питомцы-и-животные
О
Образование
О
Образование-и-коммуникации
xalva123
xalva123
25.12.2022 05:29 •  Математика

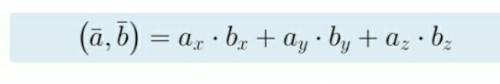
Найдите скалярное произведение векторов a{2; 6; -13} и b{-2; 4; 5}

👇
Ответ:
nevzorovivan200
nevzorovivan200
25.12.2022
Значит
сумма = 2*(-2)+6*4+(-13)*5= -4+24+65= 85
Найдите скалярное произведение векторов a{2; 6; -13} и b{-2; 4; 5}
4,8(97 оценок)
Открыть все ответы
Ответ:
Vladislav1108
Vladislav1108
25.12.2022
Пусть в - количество упаковок Витрума.
Пусть с - количество упаковок Центрума.

Получаем систему уравнений:
в+с = 125
260в + 250с = 31750

Из первого уравнения получаем:
в = 125-с

Подставим это значение во второе уравнение:
260(125-с) + 250с = 31750

32500-260с+250с = 31750
-10с = 32500-31750
-10с = -750
10с = 750
с = 750:10
с = 75 упаковок Центрума.
в = 125-с =125-75=50 упаковок Витрума.
ответ: 75 упаковок Центрума, 50 упаковок Витрума.
Пооверка:
1) 260•50 = 13000 рублей стоили 50 упаковок Витрума.
2) 250•75 = 18750 рублей стоили 75 упаковок Центрума.
3) 13000+18750 = 31750 рублей стоили все упаковки Витрума и Центрума вместе.
4,5(32 оценок)
Ответ:
kolzov
kolzov
25.12.2022

Пошаговое объяснение:

Среднее арифметическое трёх чисел равно 1,54.

Первое число больше второго числа в 2 раз.

Третье число меньше второго на 0,18.

Найди первое, второе и третье число.

Решение.

Средним арифметическим нескольких чисел называют частное от деления суммы этих чисел на количество слагаемых.

Пусть третье число равно х.

Тогда второе число равно (х +0,18).

Первое число равно ((х +0,18) * 2).

Зная, что среднее арифметическое трёх чисел равно 1,54 - составим уравнение:

(((х +0,18) * 2) + (х +0,18) + х) : 3 = 1,54

((х +0,18) * 2 + х +0,18 + х) : 3 = 1,54

(2х + 0,36 + х + 0,18 + х) : 3 = 1,54

(4х + 0,54) : 3 = 1,54

4х + 0,54 = 1,54 *3

4х + 0,54= 4,62

4х = 4,62 – 0,54

4х = 4,08

х = 4,08 : 4

х = 1,02

Третье число равно 1,02

Второе число равно 1,02 + 0,18 = 1,2

Первое число равно 1,2 * 2 = 2,4

Проверка:

(2,4 + 1,2 + 1,02) : 3 = 4,62 : 3 = 1,54

Первое число равно 2,4

Второе число равно 1,2

Третье число равно 1,02

4,6(47 оценок)
Это интересно:
Новые ответы от MOGZ: Математика
logo
Вход Регистрация
Что ты хочешь узнать?
Спроси Mozg
Открыть лучший ответ