М
Молодежь
К
Компьютеры-и-электроника
Д
Дом-и-сад
С
Стиль-и-уход-за-собой
П
Праздники-и-традиции
Т
Транспорт
П
Путешествия
С
Семейная-жизнь
Ф
Философия-и-религия
Б
Без категории
М
Мир-работы
Х
Хобби-и-рукоделие
И
Искусство-и-развлечения
В
Взаимоотношения
З
Здоровье
К
Кулинария-и-гостеприимство
Ф
Финансы-и-бизнес
П
Питомцы-и-животные
О
Образование
О
Образование-и-коммуникации
DnoKaKtys
DnoKaKtys
22.12.2022 22:45 •  Математика

Найти площадь фигуры , ограниченной линиями( сделав рисунок) y=x^2; x=1; x=2; y=0

👇
Ответ:
Настя456456
Настя456456
22.12.2022
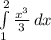
S=\int\limits^2_1 { \frac{x^3}{3} } \, dx
x=2
x^3/3=8/3
x=1
x^3/3=1/3
S=8/3-1/3=7/3
ответ:7/3
4,7(96 оценок)
Открыть все ответы
Ответ:
Bogataer1
Bogataer1
22.12.2022

эссе на тему "қызыл кітабы"

біздің планета жер болып табылады бірегей планета күн жүйесі. ол ғана емес, ең әдемі және барлық ғаламшарлар, бірақ жалғыз оның бар өмірі. өмір мұнда орнаған бірегей және алуан түрлі.зақымдайды, сондай-ақ алуан флора планета. біз - бақытты , өйткені бізге бұйырды бірегей мүмкіндігін байқауға,зерттеуге өмірі біздің ағайынды аз. себебі, қазір, қазіргі, қазіргі техникалық прогресс, көптеген жануарлар мен өсімдіктер түрлерін, олар да тұр, жоғалып кетудің аз алдында.олардың кейбіреулері жай ғана емес, онда өмір сүріп, өйткені, құртқан және жояды жерін мекендейтін, ал біреуді браконьерлер жай ғана өлтіреді олардың әдемі терісі немесе бивней. егер оларды тоқтату вымирание қазір бірнеше ондаған жылдар бойы біздің алатынын біліп, олар туралы тек суреттер бойынша кітабында

перевод: эссе на тему "красная книга"

наша планета земля является уникальной планетой солнечной системы. она не только самая красивая из всех планет, но и единственная, на которой есть жизнь. проблема в том, что и сейчас, в наше время, время технического

прогресса, есть много видов животных и растений, которые тоже стоят на грани

вымирания. кто-то из них просто не имеет где жить, потому-что люди

уничтожили и уничтожают места их обитания, а кого-то браконьеры просто

убивают из-за их красивой шкуры или бивней. если не остановить их

вымирание сейчас, то уже через несколько десятков лет наши дети смогут

узнать о них только по картинкам в учебнике.

4,6(69 оценок)
Ответ:
уже3
уже3
22.12.2022

человек и природа, поистине взаимосвязанные термины. связь, существующая на протяжении многих веков между ними, наблюдается практически в каждой отрасли искусства. ведь не зря есть столько точек соприкосновения между человеком и природой в живописи, и даже в музыке. тем самым, музыкальные мотивы, сопровождаясь голосом человека.

тема человека, также как и тема природы, довольно часто встречаема как в отечественной, так и в мировой . многие писатели употребляли в своих произведениях эти темы как базовые.

великий писатель а.п.чехов, неоднократно представлял в своих рассказах мотивы человека и природы. одна из ведущих тем его произведений является взаимовлияние человека и природы. наблюдается особенно в таких произведениях как «палата №6» и «ионыч».

но эту тему рассматривали также и такие писатели как гоголь, лермонтов, достоевский и другие зарубежные творцы. почему именно эта тема так часто употребляема в рассказах именно этих писателей? одной из причин является то, что они являеются посредниками реализма в . эта тема многими писателями, в том числе и зарубежными, рассматривалась с самых разных сторон, одновременно и с сарказмом, и с глубоким сожалением.

если взять в пример зарубежных писателей, нужно отметить джейн остин, шарлотту бронте, гете, особенно в «страдания юного вертера», джека лондона, и примечательно произведение эмиля золя «проступок аббата муре» и виктор гюго в романе «человек, который смеется».

в заключении, наблюдая взаимосвязь человека и природы в отечественной и мировой , можно отметить тот факт, что эта взаимосвязь, процесс реверсивный. тем самым, как человек влияет на природу, так и природа влияет на человека. а исходя из произведениях вышеописанных писателей, можно уточнить, тот факт, что цель жизни человека улучшить и усовершенствовать то, что в себе, и то что окружает его. и четкому описанию деталий в тексте, произведение обладает большим шармом, тем самым притягивая читателей.

4,5(99 оценок)
Это интересно:
Новые ответы от MOGZ: Математика
logo
Вход Регистрация
Что ты хочешь узнать?
Спроси Mozg
Открыть лучший ответ