М
Молодежь
К
Компьютеры-и-электроника
Д
Дом-и-сад
С
Стиль-и-уход-за-собой
П
Праздники-и-традиции
Т
Транспорт
П
Путешествия
С
Семейная-жизнь
Ф
Философия-и-религия
Б
Без категории
М
Мир-работы
Х
Хобби-и-рукоделие
И
Искусство-и-развлечения
В
Взаимоотношения
З
Здоровье
К
Кулинария-и-гостеприимство
Ф
Финансы-и-бизнес
П
Питомцы-и-животные
О
Образование
О
Образование-и-коммуникации
Lola12131415
Lola12131415
20.01.2020 13:47 •  Математика

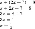
X+(2x+7)=8. не могу решить уравнения

👇
Ответ:
alsutil
alsutil
20.01.2020
x + (2x + 7) = 8 \\ x + 2x + 7 = 8 \\ 3x = 8 - 7 \\ 3x = 1 \\ x = \frac{1}{3}
4,5(9 оценок)
Ответ:
Z8Z
Z8Z
20.01.2020

Решение:х+2х+7=8 3х=8-7 3х=1 х=1/3, следовательно ответ уравнения равен 1/3!

4,7(29 оценок)
Открыть все ответы
Ответ:
denis403
denis403
20.01.2020
60/100=6/10=3/5
25/100=5/20=1/4
24/120=4/20=1/5
Запишите числитель и знаменатель дроби в виде произведений содержащих одинаковые множители и сократи дробь
4/6=4*2/6*2=2/3
15/20=15*4/20*4=3/4
8/10=8*6/10*6=4/5
15/10=15*5/10/5=3/2
20/30=20*9/30*9=2/3

4/24=4*8/24*8=1/6
5/20=5*6/20*6=1/4
4/20=4*5/20*5=1/5
8/16=8*3/16*3=1/2
10/40=10*11/40*11=1/4
5/50=5*8/50/*8=1/10
2/4=2*9/4*9=1/2
3/9=3*6/9*6=1/3
4/16=4*5/16*5=1/4
9/45=9*8/45*8=1/5
11/66=11*8/66*8=1/6
5/35=5*7/35*7=1/7
18/20=18*7/20*7=9/10
5/10=5*3/10*3=1/2
16/12=16*8/12*8=4/3
30/20=30*9/20*9=3/2
12/9=12*8/9*8=4/3
2/6=2*4/6*4=1/3
55/22=55*1/22*1=5/2
17/51=17*5/51*5=1/3
12/8=12*7/8*7=3/2
24/40=24*21/40*21=3/5
15/6=16*9/6*9=15/6
10/100=10*4/100*4=1/10
Выпишите несократимые дроби
3/5,13/14,6/7,24/35
4,5(82 оценок)
Ответ:
Alina57891
Alina57891
20.01.2020
60/100=6/10=3/5
25/100=5/20=1/4
24/120=4/20=1/5
Запишите числитель и знаменатель дроби в виде произведений содержащих одинаковые множители и сократи дробь
4/6=4*2/6*2=2/3
15/20=15*4/20*4=3/4
8/10=8*6/10*6=4/5
15/10=15*5/10/5=3/2
20/30=20*9/30*9=2/3

4/24=4*8/24*8=1/6
5/20=5*6/20*6=1/4
4/20=4*5/20*5=1/5
8/16=8*3/16*3=1/2
10/40=10*11/40*11=1/4
5/50=5*8/50/*8=1/10
2/4=2*9/4*9=1/2
3/9=3*6/9*6=1/3
4/16=4*5/16*5=1/4
9/45=9*8/45*8=1/5
11/66=11*8/66*8=1/6
5/35=5*7/35*7=1/7
18/20=18*7/20*7=9/10
5/10=5*3/10*3=1/2
16/12=16*8/12*8=4/3
30/20=30*9/20*9=3/2
12/9=12*8/9*8=4/3
2/6=2*4/6*4=1/3
55/22=55*1/22*1=5/2
17/51=17*5/51*5=1/3
12/8=12*7/8*7=3/2
24/40=24*21/40*21=3/5
15/6=16*9/6*9=15/6
10/100=10*4/100*4=1/10
Выпишите несократимые дроби
3/5,13/14,6/7,24/35
4,5(100 оценок)
Новые ответы от MOGZ: Математика
logo
Вход Регистрация
Что ты хочешь узнать?
Спроси Mozg
Открыть лучший ответ