М
Молодежь
К
Компьютеры-и-электроника
Д
Дом-и-сад
С
Стиль-и-уход-за-собой
П
Праздники-и-традиции
Т
Транспорт
П
Путешествия
С
Семейная-жизнь
Ф
Философия-и-религия
Б
Без категории
М
Мир-работы
Х
Хобби-и-рукоделие
И
Искусство-и-развлечения
В
Взаимоотношения
З
Здоровье
К
Кулинария-и-гостеприимство
Ф
Финансы-и-бизнес
П
Питомцы-и-животные
О
Образование
О
Образование-и-коммуникации
ауе60
ауе60
10.03.2022 09:33 •  Математика

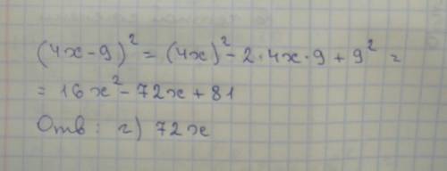
Какой одночлен надо поставить на место пустого прямоугольника, чтобы равенство (4х-9)²=16х²-_+81 было верным? а)26х б)2 592х в)36х г)72х

👇
Ответ:
zetexer1
zetexer1
10.03.2022

(4x-9)^2=(4x)^2-2*4x*9+9^2=16x^2-72x+81;

Следовательно, нужно подставить 72x, то есть ответ Г.

4,5(79 оценок)
Ответ:
миса33
миса33
10.03.2022
Фоточка тебе в
Какой одночлен надо поставить на место пустого прямоугольника, чтобы равенство (4х-9)²=16х²-_+81 был
4,7(16 оценок)
Открыть все ответы
Ответ:
мика0955
мика0955
10.03.2022

Пошаговое объяснение:

При решении задач на нахождение двух чисел по их сумме и разности схематические рисунки. Рассмотрим задачу. В одной корзине на восемь яблок больше, чем во второй. В двух корзинах вместе двадцать яблок. Сколько яблок в каждой корзине? Решение: выполним схематический рисунок. Покажем две корзины, в первой – на восемь яблок больше. Общее количество яблок двадцать. ... ответ: 988 см2. Опираясь на данные задачи, мы можем составить примерную схему решения задач на нахождение двух чисел по их сумме и разности: составляем схему по условию задачи; вычитаем из общей суммы лишнее (уравниваем количество); делим это количество поровну; отвечаем на вопрос задачи

4,5(37 оценок)
Ответ:
rom4ik227232245
rom4ik227232245
10.03.2022

1) Если параболы имеет вершину в начале координат, то каноническое уравнение параболы имеет вид у² = 2рх.

А уравнение директрисы х + (р/2) = 0.

По заданию уравнение директрисы x+3=0 или х + (6/2) = 0.

Значит, параметр р = 6.

Уравнение параболы у² = 2*6х или у² = 12х.

2) Каноническое уравнение гиперболы имеет вид (x²/a²) - (y²/b²) = 1.

Но у неё действительная ось на оси Ох.+

Для гиперболы с действительной осью на оси Оу уравнение имеет вид -(x²/a²) + (y²/b²) = 1.

По заданию b = 4√5/2 = 2√5.

е = с/b.

Тогда c = e*b=(√5/2)*2√5 = 5.

a² = c² - b² = 25 - 20 = 5.

Уравнение гиперболы -(x²/(√5)²) + (y²/(2√5)²) = 1.

3) а = 10/2 = 5.

   с = е*а = 0,6*5 = 3.

b² = a² - c² = 25 -9 = 16 = 4².

Уравнение эллипса  (x²/5²) + (y²/4²) = 1.

4,4(67 оценок)
Это интересно:
Новые ответы от MOGZ: Математика
logo
Вход Регистрация
Что ты хочешь узнать?
Спроси Mozg
Открыть лучший ответ