М
Молодежь
К
Компьютеры-и-электроника
Д
Дом-и-сад
С
Стиль-и-уход-за-собой
П
Праздники-и-традиции
Т
Транспорт
П
Путешествия
С
Семейная-жизнь
Ф
Философия-и-религия
Б
Без категории
М
Мир-работы
Х
Хобби-и-рукоделие
И
Искусство-и-развлечения
В
Взаимоотношения
З
Здоровье
К
Кулинария-и-гостеприимство
Ф
Финансы-и-бизнес
П
Питомцы-и-животные
О
Образование
О
Образование-и-коммуникации
bistreeee
bistreeee
25.07.2022 18:14 •  Математика

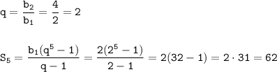
Найдите сумму пяти первых членов прогрессии(bn) 2; 4;

👇
Ответ:
Radjabaliev
Radjabaliev
25.07.2022

\displaystyle\tt q=\frac{b_2}{b_1} =\frac{4}{2} =2\\\\\\ S_5=\frac{b_1(q^5-1)}{q-1} =\frac{2(2^5-1)}{2-1} =2(32-1)=2\cdot31=62

4,7(55 оценок)
Открыть все ответы
Ответ:
Po999
Po999
25.07.2022
Многие детали и сборочные единицы на своих поверхностях должны иметь информационные знаки — маркировку. Процесс нанесения маркировки — маркирование — является либо самостоятельной операцией, либо выполняется как переход в заготовительных операциях, в процессе механической обработки, сборки.

Маркированию подвергаются заготовки и детали из листового проката, собранные сваркой конструкции, механически обработанные детали, сборочные единицы.

Марка, как правило, цифровая, с буквенной индикацией и технологическим символом в конце марки. Наибольшее количество знаков в марке для маркирования деталей турбин — 22. Марка наносится в зависимости от конфигурации детали и количеству знаков в одну-три строки.

маркировки следующие: механический, химический, электроискровой, электрохимический, фотохимический, ультразвуковой, нанесением марки лакокрасочным составом. Нанесенные маркировочные знаки должны сохраняться на весь межоперационный цикл изготовления.

При ручном исполнении маркирование является физически трудным процессом, поэтому механизация указанного процесса служит важным фактором повышения производительности и улучшения условий труда.

Для маркирования заготовок и деталей из листового проката лакокрасочными материалами применительно к условиям турбостроительных заводов создана конструкция маркировочной машины полуавтоматического действия.
4,5(96 оценок)
Ответ:
Карпыч1
Карпыч1
25.07.2022
(х+8)х2=24; х=4(см) - Ширина прямоугольника.Периметр - 24 см.Длина  одной стороны =8 см т.к. это прямоугольник то другая его сторона тоже = 8 см отсюда следует что длина двух сторон ровна 8+8=16 см . Т.к. длинна перимера = 24 см то 24-16=8 см  равняется длинна двух других сторон . Т.к. эти стороны равны то 8/2=4 см линна одной стороны. площадь треугольника =(а*в) /2 =(8*4)/2=16 см2 равна площадь одного треугольникаТеперь разделим прямогульник на 2 РАВНЫХ треугольника, и найдем их площадь!х+8=12; Длина прямоугольника - 8см.  ответ: Площадь двух треугольников будет одинакова! Так как мы разделили на два РАВНЫХ треукольника! Площадь равна 16см^2 - (это 16 сантиметров в квадрате!)Пусть х(см) - ширина прямоугольника, тогда (х+8)х2=24; (8х4):2=32:2=16(см^2) - Площадь треугольника.Площадь треугольник - ?см^2
4,7(16 оценок)
Новые ответы от MOGZ: Математика
logo
Вход Регистрация
Что ты хочешь узнать?
Спроси Mozg
Открыть лучший ответ