М
Молодежь
К
Компьютеры-и-электроника
Д
Дом-и-сад
С
Стиль-и-уход-за-собой
П
Праздники-и-традиции
Т
Транспорт
П
Путешествия
С
Семейная-жизнь
Ф
Философия-и-религия
Б
Без категории
М
Мир-работы
Х
Хобби-и-рукоделие
И
Искусство-и-развлечения
В
Взаимоотношения
З
Здоровье
К
Кулинария-и-гостеприимство
Ф
Финансы-и-бизнес
П
Питомцы-и-животные
О
Образование
О
Образование-и-коммуникации
kariiiinaaaad
kariiiinaaaad
21.12.2022 15:41 •  Математика

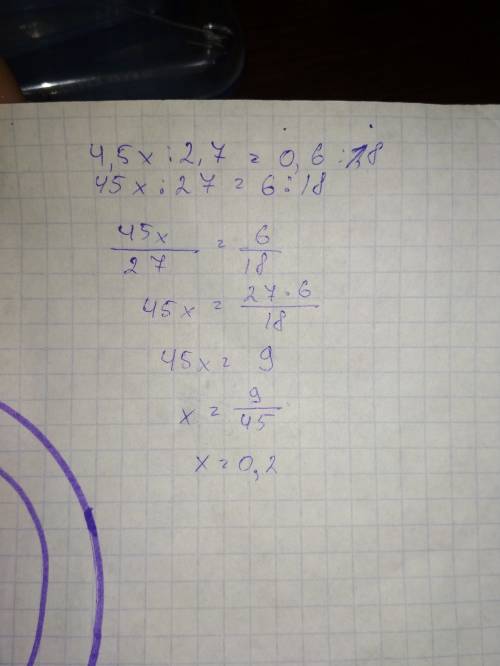
Решите следующие пропорции: 4,5х : 2,7 = 0,6: 1,8

👇
Ответ:
mannanova0202
mannanova0202
21.12.2022

4.5х*1.8=2.7*0.6

х=0.2

4,5(57 оценок)
Ответ:
Kisa2Mary
Kisa2Mary
21.12.2022

Вооооооооооооооооооот


Решите следующие пропорции: 4,5х : 2,7 = 0,6: 1,8
4,5(48 оценок)
Открыть все ответы
Ответ:
NaStYтуут
NaStYтуут
21.12.2022
Дед - он дед внуку и отец своему сыну - отцу внука.
Два отца - этот дед (отец отца) и отец (отец сына-внука).
Два сына - отец (отец сына-внука) и сам сын-внук.

Сыну - "х" лет. Его отцу - "х + 25" лет, Деду - " х + 25 + 25" лет. Всем вместе - 90 лет. У нас получается уравнение:
х + х + 25 + х + 25 + 25 = 90
3х + 75 = 90
3х = 90 - 75
3х = 15
х = 15 : 3 = 5 (лет) - столько лет сыну-внуку.
х + 25 = 5 + 25
х + 25 = 30 (лет) - столько лет отцу.
х + 25 + 25 = 5 + 50
х = 55 (лет) - столько лет деду.

ответ: всего было 3 крокодила; им было: 5, 30, 55 лет.
4,5(32 оценок)
Ответ:
dstepin17
dstepin17
21.12.2022
Дед - он дед внуку и отец своему сыну - отцу внука.
Два отца - этот дед (отец отца) и отец (отец сына-внука).
Два сына - отец (отец сына-внука) и сам сын-внук.

Сыну - "х" лет. Его отцу - "х + 25" лет, Деду - " х + 25 + 25" лет. Всем вместе - 90 лет. У нас получается уравнение:
х + х + 25 + х + 25 + 25 = 90
3х + 75 = 90
3х = 90 - 75
3х = 15
х = 15 : 3 = 5 (лет) - столько лет сыну-внуку.
х + 25 = 5 + 25
х + 25 = 30 (лет) - столько лет отцу.
х + 25 + 25 = 5 + 50
х = 55 (лет) - столько лет деду.

ответ: всего было 3 крокодила; им было: 5, 30, 55 лет.
4,5(1 оценок)
Новые ответы от MOGZ: Математика
logo
Вход Регистрация
Что ты хочешь узнать?
Спроси Mozg
Открыть лучший ответ