М
Молодежь
К
Компьютеры-и-электроника
Д
Дом-и-сад
С
Стиль-и-уход-за-собой
П
Праздники-и-традиции
Т
Транспорт
П
Путешествия
С
Семейная-жизнь
Ф
Философия-и-религия
Б
Без категории
М
Мир-работы
Х
Хобби-и-рукоделие
И
Искусство-и-развлечения
В
Взаимоотношения
З
Здоровье
К
Кулинария-и-гостеприимство
Ф
Финансы-и-бизнес
П
Питомцы-и-животные
О
Образование
О
Образование-и-коммуникации
Alimmmmm
Alimmmmm
22.04.2021 23:41 •  Математика

Решить пропорцию 25 : 10 ровно 10 : 18 и ещё четыре двадцать четвёртых ровно девять четырнандцатых

👇
Ответ:
yashchenko04
yashchenko04
22.04.2021
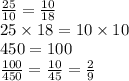
\frac{25}{10} = \frac{10}{18} \\ 25 \times 18 = 10 \times 10 \\ 450 = 100 \\ \frac{100}{450} = \frac{10}{45} = \frac{2}{9}

\frac{4}{24} = \frac{9}{14} \\ 4 \times 14 = 24 \times 9 \\ 56 = 216 \\ \frac{216}{56} = \frac{108}{28} = \frac{54}{14} = \frac{27}{7} = 3\frac{6}{7}
4,6(23 оценок)
Открыть все ответы
Ответ:
Алинка1984
Алинка1984
22.04.2021
1)(В одном направлении), Если первая машина едет первой и с большей скоростью .
80км/ч-60км/ч=20км/ч ( скорость удаления первой машины)
20км/ч*1час=20км ( увеличится расстояние между машинами ,через час)
100км+20км=120км ( будет расстояние между машинами ,через час)
2) Если первая машина едет первой , но с меньшей скоростью.
80км/ч-60км/ч=20км/ч ( скорость опережения второй машины)
20км/ч*1час=20км ( расстояние которое нагонит вторая машина за час)
100км-20км=80км ( будет расстояние между машинами . через час)
3) ( Навстречу друг к другу)
80км/ч+60км/ч =140км/ч( скорость сближения двух машин)
140км/ч*1час=140км ( проедут обе машины за час)
140км-100км=40км ( расстояние между машинами, через час), машины встретятся и разъедутся в противоположном направлении.
4,4(24 оценок)
Ответ:
Znanijaetosila1
Znanijaetosila1
22.04.2021
Что на самом деле?вариант 1. некоторые люди не могут запомнить номер телефона, да и зачем в данной ситуации максиму запоминать, если дед сам звонит ему? Они общаются, а кто звонит это уже дело десятое. 
Вариант 2. Максим просто не хочет тратить деньги на звонки, потому что Максим продуманный мальчик. зачем тратится, если дед и сам позвонить может. 

Что хочет услышать учитель?Поведение Максима говорит о том, что деда он не ценит. когда человек хочет что-либо, он найдет любой достичь этого. Если Максим не может запомнить номер телефона, он может его записать на листочке, в телефонную книжку своего телефона. Данная ситуация же не безвыходная. Если Максим не делает этого, значит дед не интересен ему как собеседник. Возникает вопрос, почему Максим подолгу разговаривает с ним, даже когда тот ему звонит? Родители все-таки смогли воспитать своего сына более-менее нормальным человеком. Максим знает что такое уважение к старшим. Именно поэтому Максим и не кладет трубку после 2 минут разговора. 
имхо
4,7(82 оценок)
Новые ответы от MOGZ: Математика
logo
Вход Регистрация
Что ты хочешь узнать?
Спроси Mozg
Открыть лучший ответ