М
Молодежь
К
Компьютеры-и-электроника
Д
Дом-и-сад
С
Стиль-и-уход-за-собой
П
Праздники-и-традиции
Т
Транспорт
П
Путешествия
С
Семейная-жизнь
Ф
Философия-и-религия
Б
Без категории
М
Мир-работы
Х
Хобби-и-рукоделие
И
Искусство-и-развлечения
В
Взаимоотношения
З
Здоровье
К
Кулинария-и-гостеприимство
Ф
Финансы-и-бизнес
П
Питомцы-и-животные
О
Образование
О
Образование-и-коммуникации
ruzall
ruzall
22.11.2022 10:12 •  Математика

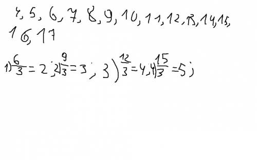
Из чисел от 4 до 17 выпиши те , которые делятся на 3 нацело. запиши 5 случаев деления.

👇
Ответ:
lulchik08
lulchik08
22.11.2022

6 : 3 = 2

9 : 3 = 3

12 : 3 = 4

15 : 3 = 5

4,6(62 оценок)
Ответ:
elkat24
elkat24
22.11.2022

.........................


Из чисел от 4 до 17 выпиши те , которые делятся на 3 нацело. запиши 5 случаев деления.
4,8(43 оценок)
Открыть все ответы
Ответ:
lisa1003
lisa1003
22.11.2022
A) пусть дана дробь две третих. напишите дробь, обратную данной. Выясните, является ли эта дробь правильной или неправильной. Какая из дробей ближе к 1?

2/3 ,     3/2    -дробь, обратная данной, неправильная. 
 
1-2/3=1/3      3/2-1=1/2

1/3<1/2 ⇒  2/3 ближе к  1


Б) Запишите какую либо правильную дробь и дробь обратную данной. какая из дробей ближе к единице? 

3/5,   5/3  -дробь, обратная данной, неправильная.

1-3/5=2/5                5/3-1=2/3
2/5  =6/15            2/3=10/15

6/15   <10/15 ⇒  2/5   ближе к единице.

В) выразите мнение о Том какая из двух дробей правильная дробь и дробь обратная данной расположена ближе 1 ответ обоснуйте.

a/b  - правильная (a<b)   ,   b/a  - неправильная
 1- a/b =(b-a)/b             b/a-1 = (b-a)/a  

(b-a)/b  < (b-a)/a  , т.к   b >a, две дроби с одинаковым числителем, у первой знаменатель больше чем у второй.
4,6(49 оценок)
Ответ:
НастяБлог
НастяБлог
22.11.2022
A) пусть дана дробь две третих. напишите дробь, обратную данной. Выясните, является ли эта дробь правильной или неправильной. Какая из дробей ближе к 1?

2/3 ,     3/2    -дробь, обратная данной, неправильная. 
 
1-2/3=1/3      3/2-1=1/2

1/3<1/2 ⇒  2/3 ближе к  1


Б) Запишите какую либо правильную дробь и дробь обратную данной. какая из дробей ближе к единице? 

3/5,   5/3  -дробь, обратная данной, неправильная.

1-3/5=2/5                5/3-1=2/3
2/5  =6/15            2/3=10/15

6/15   <10/15 ⇒  2/5   ближе к единице.

В) выразите мнение о Том какая из двух дробей правильная дробь и дробь обратная данной расположена ближе 1 ответ обоснуйте.

a/b  - правильная (a<b)   ,   b/a  - неправильная
 1- a/b =(b-a)/b             b/a-1 = (b-a)/a  

(b-a)/b  < (b-a)/a  , т.к   b >a, две дроби с одинаковым числителем, у первой знаменатель больше чем у второй.
4,5(50 оценок)
Это интересно:
Новые ответы от MOGZ: Математика
logo
Вход Регистрация
Что ты хочешь узнать?
Спроси Mozg
Открыть лучший ответ