М
Молодежь
К
Компьютеры-и-электроника
Д
Дом-и-сад
С
Стиль-и-уход-за-собой
П
Праздники-и-традиции
Т
Транспорт
П
Путешествия
С
Семейная-жизнь
Ф
Философия-и-религия
Б
Без категории
М
Мир-работы
Х
Хобби-и-рукоделие
И
Искусство-и-развлечения
В
Взаимоотношения
З
Здоровье
К
Кулинария-и-гостеприимство
Ф
Финансы-и-бизнес
П
Питомцы-и-животные
О
Образование
О
Образование-и-коммуникации
topovyyanTay
topovyyanTay
12.04.2021 21:10 •  Математика

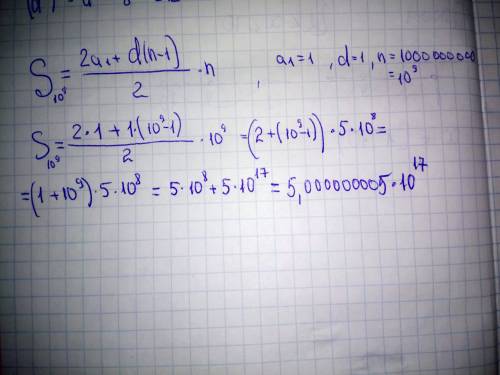
Найдите сумму всех натуральных чисел от единицы до миллиарда

👇
Ответ:
nasichcool01
nasichcool01
12.04.2021

Решение задания приложено


Найдите сумму всех натуральных чисел от единицы до миллиарда
4,4(22 оценок)
Открыть все ответы
Ответ:
kate6668
kate6668
12.04.2021
Сначала надо вычислить примеры под цифрой 1 и 2, а потом составить равенства:
1) 32-19=13                        2) 94-27=67
    32-28=4                              94-38=56
    32-17=15                            94-42=52
    32-26 =6                             94-59=35
    44-19=25                            87-27=60
    44-28=16                            87-38=49
    44-17=27                            87-42=45
    44-26=18                            87-59=28
    37-19=18                            68-27=41
    37-28=9                              68-38=30
    37-17=20                            68-42=26
    37-26=11                            68-59=9
    43-19=24                            65-27=38
    43-28=15                            65-38=27
    43-17=26                            65-42=23
    43-26=17                            65-59=6
получим выражения
32-17=43-28 (15)
32-26=65-59(6)
44-17=65-38(27)
44-26=37-19(18)
37-28=68-59(9)
43-17=68-42(26)
    
4,5(6 оценок)
Ответ:
Akosh11
Akosh11
12.04.2021
По условию, если углы при основании равнобедренного треугольника образованного радиусами и хордой равны 30 гр, то центральный угол, он же угол при вершине равен 120 гр. Отсюда площадь сектора можно записать как площадь круга деленного на 3 (120=1/3*360).
S=12Пи=ПиR^2:3 =>  R^2=36 => R=6.
Мы теперь знаем боковую сторону равнобедренного треугольника. Проведем в нем высоту к основанию. Она образует прямоугольный треугольник и лежит против угла в 30 гр. , следовательно равна половине гипотенузы, т.е. равна R/2=3
Найдем хорду. Половина хорды (высота в равнобедренном треугольнике является также медианой) находится либо по теореме Пифагора, либо по cos 60.
По теореме Пифагора  половина хорды равна корню из R^2-(R^2)/4=V3/2*R=
По cos 60  половина хорды равна произведению косинуса угла на гипотенузу,т.е. cos 60*R=V3/2*R.
Следовательно вся хорда равна V3*R =6V3. Зная высоту и основание,найдем площадь 1/2*6V3*3=9V3.
Площадь кругового сегмента равна 12Пи-9V3
4,7(67 оценок)
Это интересно:
Новые ответы от MOGZ: Математика
logo
Вход Регистрация
Что ты хочешь узнать?
Спроси Mozg
Открыть лучший ответ