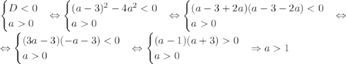
Если график лежит выше оси абсцисс, a строго положителен, иначе график будет либо прямой (лежит как выше, так и ниже Ox), либо параболой с ветвями, направленными вниз (то есть обязательно лежит ниже Ox). Парабола с ветвями, направленными вверх, лежит выше Ox, если не имеет пересечений с этой осью, то есть дискриминант квадратного уравнения отрицателен. Таким образом,
1. Как называются побеги винограда? (Побеги винограда называются виноградной лозой). 2. К какому классу относится виноград? (К классу двудольные). 3. К какому отделу относится виноград? (К отделу цветковые). ТЕСТ 1. Как выглядят плоды винограда? (шаровидные или яйцевидные ягоды, собранные в более или менее рыхлые грозди). 2. Какова окраска ягод винограда? (Окраска ягод сильно варьирует в зависимости от сорта (жёлтые, зеленоватые, тёмно-синие, фиолетовые, чёрные и др.)). 3. Как выглядят цветки винограда? ( Цветки мелкие, собранные в соцветия). 4. Назовите основные центры происхождения винограда. (Северо-Западная Индию, Афганистан, Таджикистан, Узбекистан, Западный Тянь-шань). 5. Можно ли лечиться виноградом? (Да ,у винограда все его части обладают заметными лечебными и профилактическими свойствами. В медицине даже есть такое понятие, как «ампелотерапия» — лечение виноградом, и не только ягодами, но и листьями, древесиной и всем, что можно взять у этого растения).
Сначала отняли целые числа 8-3=5 Потом надо еще отнять дробь 6/15 Получаем 5-6/15 Мы 5 представили как 4+1, получаем 4+1-6/15 1 представляем как 15/15 и получаем 4+15/15-6/15 Отсюда получается 4+(15-6)/15 Отсюда получается 4+9/15=4 9/15 Дробь 9/15 можно сократить на 3, то есть и числитель и знаменатель надо разделить на одно и тоже число (в данном случае это число 3) И получаем, что 4 9/15=4 3/5 Если числитель разделить на 3, получим 9:3=3, а знаменатель 15:3=5, вот и получается, что 9/15=3/5 Поэтому получается 4 3/5
Если график лежит выше оси абсцисс, a строго положителен, иначе график будет либо прямой (лежит как выше, так и ниже Ox), либо параболой с ветвями, направленными вниз (то есть обязательно лежит ниже Ox). Парабола с ветвями, направленными вверх, лежит выше Ox, если не имеет пересечений с этой осью, то есть дискриминант квадратного уравнения отрицателен. Таким образом,
ответ: