М
Молодежь
К
Компьютеры-и-электроника
Д
Дом-и-сад
С
Стиль-и-уход-за-собой
П
Праздники-и-традиции
Т
Транспорт
П
Путешествия
С
Семейная-жизнь
Ф
Философия-и-религия
Б
Без категории
М
Мир-работы
Х
Хобби-и-рукоделие
И
Искусство-и-развлечения
В
Взаимоотношения
З
Здоровье
К
Кулинария-и-гостеприимство
Ф
Финансы-и-бизнес
П
Питомцы-и-животные
О
Образование
О
Образование-и-коммуникации
Varvaralikhtsr1
Varvaralikhtsr1
26.05.2021 01:59 •  Математика

1,2 : х = 1,6 : 0,8 (решите пропорцию)

👇
Ответ:
лейс1215
лейс1215
26.05.2021
1,2 ÷ х = 1,6 ÷ 0,8
1,6 × х = 1,2 × 0,8
1,6х = 0,96
х = 0,96 ÷ 1,6
х = 0,6.
ответ : х = 0,6.

Удачи
4,6(36 оценок)
Ответ:
KSEN012
KSEN012
26.05.2021
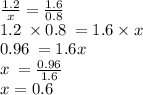
\frac{1.2}{x} = \frac{1.6}{0.8} \\ 1.2 \: \times 0.8 \: = 1.6 \times x \\ 0.96 \: = 1.6x \\ x \: = \frac{0.96}{1.6} \\ x = 0.6

Проверка:
1,2 : 0,6 = 1,6 : 0,8
2 = 2

[Удачи!]
4,4(80 оценок)
Открыть все ответы
Ответ:
uliana3murrr
uliana3murrr
26.05.2021
Обозначим центр сферы O, радиус сферы R, а плоскость сечения α.
Обозначим центр окружности сечения O' и ее радиус r.
Расстояние от O до O' равно ρ.
Длина окружности сечения L равна 2πr.

Возьмем плоскость β так, чтобы она была перпендикулярна α и содержала центр сферы.
Плоскости α и β пересекаются по прямой a, которая пересекает сферу в точках A и B. OA = OB = R.
При этом, точки A и B являются диаметрально-противоположными точками окружности сечения O'. Значит, O'A = O'B = r. При этом точка O' лежит в плоскости β.

Рассмотрим треугольник OO'A.
OO' ⊥ AB, OA = R, O'A = r, OO' = ρ

По теореме Пифагора имеем равенство: R² = r² + ρ² ⇒ r² = R² - ρ².

r² = 14² - 8² = (14-8)(14+8) = 6*22 = 12*11.
r = √(12*11) = 2√33.

L = 2πr = 2·2√33·π = 4π√33
4,8(71 оценок)
Ответ:
Jdudn
Jdudn
26.05.2021
Вычислим вероятность того, что с полки взяли 2 не учебника. Тогда искомая вероятность есть дополнение этой вероятности до 1.

Вероятность достать не учебник первый раз равна (10-3)/10 = 7/10.
Вероятность достать не учебник во второй раз равна (9-3)/9 = 6/9 = 2/3 (второй раз книга берется в случае, если в первый взяли не учебник. На полке осталось 9 книг, из них по-прежнему 3 - учебники).

Полная вероятность равна произведению вероятностей этих вариантов:
7/10 · 2/3 = 7/15.

Значит, вероятность получить среди 2 книг учебник равна 1 - 7/15 = 8/15 > 1/2(!).

---
Можно сосчитать и напрямую. Варианты достать учебник с полки у нас такие:
1. Достать учебник и учебник. Вероятность равна 3/10 · 2/9 = 1/15 = 2/30.
2. Достать учебник и книгу. Вероятность равна 3/10 · 7/9 = 7/30.
3. Достать книгу и учебник. Вероятность равна 7/10 · 3/9 = 7/30.

Полная вероятность равна 2/30 + 7/30 + 7/30 = 16/30 = 8/15.
4,6(44 оценок)
Это интересно:
Новые ответы от MOGZ: Математика
logo
Вход Регистрация
Что ты хочешь узнать?
Спроси Mozg
Открыть лучший ответ