М
Молодежь
К
Компьютеры-и-электроника
Д
Дом-и-сад
С
Стиль-и-уход-за-собой
П
Праздники-и-традиции
Т
Транспорт
П
Путешествия
С
Семейная-жизнь
Ф
Философия-и-религия
Б
Без категории
М
Мир-работы
Х
Хобби-и-рукоделие
И
Искусство-и-развлечения
В
Взаимоотношения
З
Здоровье
К
Кулинария-и-гостеприимство
Ф
Финансы-и-бизнес
П
Питомцы-и-животные
О
Образование
О
Образование-и-коммуникации
уукуку
уукуку
19.11.2020 10:51 •  Математика

Решить не могу понять sin^4a+2sin^2a x cos^2a + cos^4a + sin^2a + cos^2a=2

👇
Ответ:
sirius830
sirius830
19.11.2020
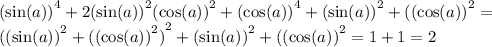
В данном выражении присутствует формула квадрата суммы и основное тригонометрическое тождество:

{(a + b)}^{2} = {a}^{2} + 2ab + {b}^{2} \\ { (\sin(x)) }^{2} + { (\cos(x) )}^{2} = 1 \\

{( \sin(a) )}^{4} + 2 { (\sin(a) )}^{2} {( \cos(a)) }^{2} + { (\cos(a)) }^{4} + {( \sin(a)) }^{2} + {( (\cos(a)) }^{2} = \\ {( { (\sin(a)) }^{2} + {(( \cos(a)) }^{2} )}^{2} + {( \sin(a)) }^{2} + {( (\cos(a)) }^{2} = 1 + 1 = 2 \\

Тождество доказано.
4,4(90 оценок)
Открыть все ответы
Ответ:
ivanmyas
ivanmyas
19.11.2020
Проснувшись сегодня с утра, плотненько позавтракав и собравшись уже было гулять наш папа, вдруг, воспротивился, заявив, что топтаться в парке скучно, холодно и неинтересно, и предложил поехать куда-нибудь, а мы взяли и согласились и поехали ни куда-ибудь, а прямёхонько в зоопарк. Правда гуляли мы только на новой территории и не очень долго, но детская площадка понравилась не только нам с папой но и Егору, потому как он реагировал довольно живо на тех зверушек, которых он уже видел на картинках, а еще больше на мамино звуковое оформление. К сожалению дождик прогнал нас из столь интересного места, прям от клетки с белым медведем, да и время уже приближалось к обеду.
Обедать мы пошли в Макдональдс, благо рядышком, там добрая тетя погрела нашу банку и мы ее с удовольствием смели. Покушав, решено было поехать еще куда-нибудь. Тут же созрела мысль отвезти хозяевам деньги за квартиру. Следует отметить что живут они в пос. Клязьма, это между Мытищи и Пушкино. Дорога пролегала мимо маминой работы, и мы заехали еще и туда навестить маминых коллег. Егорка всем очень понравился, все сказали что похож он на папу и папа не отвертиться.
Потом мы всё-таки отвезли денежки и к 17-00 вернулись домой. Егор поспал в дороге но проснувшись в 14-00 завлился спать только что.
Вот такой денек получился у нас сегодня
4,5(64 оценок)
Ответ:
Влад1488228
Влад1488228
19.11.2020
1) (-∞;+∞)
2) сначала ищем пересечения с осью х, для этого подставляем в уравнение х=0 и получаем У=2+3*0-0^2=2, следовательно с осью х пересекаться будет в точке (х,у)= (0; 2)
теперь найдем пересечение с осью у, для этого необходимо будет решить квадратное уравнение, принимаем у=0 и получаем -х^2+3x+2=0 => x^2-3x-2=0 => D(дискриминант)=(-3)^2-4*1*(-2)= 9+8=17,
первый корень (х1)=\frac{ 3+\sqrt{17} }{2}
х2=\frac{ 3-\sqrt{17} }{2}, это и есть точки пересечения с y.
3) f=- x^{2} +3x+2 => f'=-2x+3
точка экстремума 0=-2х+3 => -3=-2x => x=1,5
Теперь по интервалу необходимо определить это точка максимума или минимума от (-∞; 1,5) -возрастает, от (1,5;+∞) -убывает => точка (1,5; 4,25) -это точка максимума функции
4)f''=-2, точка перегиба отсутствует, т.к вторая производная не может быть равна нулю, функция выпуклая, т.к вторая производная отрицательная.
5)построить к сожалению не могу, но могу сказать, что это парабола с ветвями вниз, при х=3 у=2, при х=-3 у=-16
4,4(56 оценок)
Это интересно:
Новые ответы от MOGZ: Математика
logo
Вход Регистрация
Что ты хочешь узнать?
Спроси Mozg
Открыть лучший ответ