М
Молодежь
К
Компьютеры-и-электроника
Д
Дом-и-сад
С
Стиль-и-уход-за-собой
П
Праздники-и-традиции
Т
Транспорт
П
Путешествия
С
Семейная-жизнь
Ф
Философия-и-религия
Б
Без категории
М
Мир-работы
Х
Хобби-и-рукоделие
И
Искусство-и-развлечения
В
Взаимоотношения
З
Здоровье
К
Кулинария-и-гостеприимство
Ф
Финансы-и-бизнес
П
Питомцы-и-животные
О
Образование
О
Образование-и-коммуникации
VeronikaBruhova
VeronikaBruhova
17.01.2022 13:12 •  Математика

7целых 1\6 - 6 целых 5\24= 9 - 3\7= 16 - 8 целых 3\5= 6 целых 5\12 - 4 целых 11\30= 7 целых 5\16 - 3 целых 1\6= 14 целых 1\6 - 5 целых 4\9 + 6 целых 2\3= 12 )

👇
Ответ:
Юлиандрv
Юлиандрv
17.01.2022
7 \frac{1}{6} - 6 \frac{5}{24} = 7 \frac{4}{24} - 6 \frac{5}{24} = \\ 6 \frac{28}{24} - 6 \frac{5}{24} = \frac{23}{24}
9 - \frac{3}{7} = 8 \frac{7}{7} - \frac{3}{7} = 8 \frac{4}{7}
16 - 8 \frac{3}{5} = 15 \frac{5}{5} - 8 \frac{3}{5} = 7 \frac{2}{5}
6 \frac{5}{12} - 4 \frac{11}{30} = 6 \frac{25}{60} - 4 \frac{22}{60} = \\ 2 \frac{3}{60} = 2 \frac{1}{20}
7 \frac{5}{16} - 3 \frac{1}{6} = 7 \frac{15}{48} - 3 \frac{8}{48} = 4 \frac{7}{48}
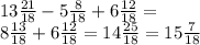
14 \frac{1}{6} - 5 \frac{4}{9} + 6 \frac{2}{3} = \\ 14 \frac{3}{18} - 5 \frac{8}{18} + 6 \frac{12}{18} =
13 \frac{21}{18} - 5 \frac{8}{18} + 6 \frac{12}{18} = \\ 8 \frac{13}{18} + 6 \frac{12}{18} = 14 \frac{25}{18} = 15 \frac{7}{18}
4,5(94 оценок)
Открыть все ответы
Ответ:
danilkazaytsev
danilkazaytsev
17.01.2022
1. К основным цветам спектра не относятся:
 Б. Оранжевый, зелёный.
2. Какие цвета относятся к тёплым:
А. Оранжевый, фиолетовый.
3. Солярные знаки (символы)-это:
Б. Круги.
4. Образ Матери- сырой земли передавали в изображении:
А. Чудо-птицы.
5. Русский деревянный крестьянский дом:
А. Хата.
6. Выбери детали украшения дома:
В. Печь, красный угол.
7. Выбери детали, из которых состоял русский народный костюм:
В. Рубаха, понёва, передник
8. Основные цвета хохломской росписи:
А. Жёлтый, красный.
9. Глиняная и фаянсовая посуда с бело- синими узорами: 
Б. Гжель.
10. Что не входило в придворные наряды:
В. Шпага, веер, сумка.
11. Искусство росписи ткани холодным, горячим называется:
Б. Батик.
12. Произведения зодчества создаёт:
А. Архитектор.
4,6(34 оценок)
Ответ:
alpysovat
alpysovat
17.01.2022
1)"На плоскости существует единственная точка, равноудалённая от концов отрезка", это утверждение неверно, т.к. любая точка, принадлежащая серединному перпендикуляру, равноудалена от концов отрезка ( свойство серединного перпендикуляра).
2) "В любой треугольник можно вписать окружность", это утверждение верно ( свойство вписанной окружности).
3) "Если в параллелограмме две смежные стороны равны, то такой параллелограмм является ромбом". Это утверждение верно. По свойству параллелограмма, противоположные стороны попарно равны. А раз смежные стороны равны, то и противоположные им стороны так же равны. Таким образом получается, что все четыре стороны такого параллелограмма равны. А это и есть определение

ответ :2 и 3
4,6(22 оценок)
Новые ответы от MOGZ: Математика
logo
Вход Регистрация
Что ты хочешь узнать?
Спроси Mozg
Открыть лучший ответ