М
Молодежь
К
Компьютеры-и-электроника
Д
Дом-и-сад
С
Стиль-и-уход-за-собой
П
Праздники-и-традиции
Т
Транспорт
П
Путешествия
С
Семейная-жизнь
Ф
Философия-и-религия
Б
Без категории
М
Мир-работы
Х
Хобби-и-рукоделие
И
Искусство-и-развлечения
В
Взаимоотношения
З
Здоровье
К
Кулинария-и-гостеприимство
Ф
Финансы-и-бизнес
П
Питомцы-и-животные
О
Образование
О
Образование-и-коммуникации
sinitsadmitrij
sinitsadmitrij
07.01.2023 12:01 •  Математика

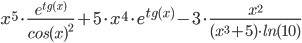
Найти производную y=e^tgx*x^4-lg(3x^3+5)

👇
Ответ:
Pingvinenok01
Pingvinenok01
07.01.2023

Пошаговое объяснение:



Найти производную y=e^tgx*x^4-lg(3x^3+5)
4,8(4 оценок)
Открыть все ответы
Ответ:
3035111236
3035111236
07.01.2023
Трейгольник АВС угол В равен 120 градусам,боковые по 10 т.к. треугольник равнобедренный углы при основании равны по 30 градусов,проведем высоту,т.к. треугольник равнобедренный она является и высотой и бисиктриссой и медианой,высота ВЕ лежит на против угла в 30 градусов,следовательна равна половине гипотенузы,равна 5 ,по теореме пифагора ищем ЕС,она равна 5 корней из трех,так как ВЕ еще и медиана,то АС равно 10 корней из 3 ,тогда площадь равна 10 корней из 3 умножить на 5 и поделить это все на 2,будет 25 корней из 3
4,5(66 оценок)
Ответ:

4а^2 * (tg альфа) * (√ (1 - tg^2 альфа)    

Пошаговое объяснение:

1) В полученном прямоугольном треугольнике диагональ призмы является гипотенузой, а диагональ боковой грани и сторона квадрата, который лежит в основании, - катетами.

2) Выражаем катет, являющийся стороной квадрата (обозначим его в), через а:

катет равен другому катету, умноженному на тангенс угла, противолежащего этому катету:

в = а * tg альфа.

3) Теперь в боковой грани находим высоту (обозначим её с):

с^2 (квадрат катета) = a^2 (квадрат гипотенузы)  - (а * tg альфа)^2 (квадрат другого катета) ; отсюда  c = a √ (1 - tg^2 альфа) .  

4) Находим площадь боковой поверхности призмы (площадь одной грани умножить на 4):

4 * (а * tg альфа) * (a √ (1 - tg^2 альфа)) = 4а^2 * (tg альфа) * (√ (1 - tg^2 альфа)    

4,5(57 оценок)
Новые ответы от MOGZ: Математика
logo
Вход Регистрация
Что ты хочешь узнать?
Спроси Mozg
Открыть лучший ответ