М
Молодежь
К
Компьютеры-и-электроника
Д
Дом-и-сад
С
Стиль-и-уход-за-собой
П
Праздники-и-традиции
Т
Транспорт
П
Путешествия
С
Семейная-жизнь
Ф
Философия-и-религия
Б
Без категории
М
Мир-работы
Х
Хобби-и-рукоделие
И
Искусство-и-развлечения
В
Взаимоотношения
З
Здоровье
К
Кулинария-и-гостеприимство
Ф
Финансы-и-бизнес
П
Питомцы-и-животные
О
Образование
О
Образование-и-коммуникации
artyom11111112
artyom11111112
09.12.2021 14:12 •  Математика

Выполни действия дроби 1)6-1 2\9 2)2 1\18-1\9 3)6 3\8-2 3\4 4)4 2\15-3 5\12

👇
Ответ:
debchai123
debchai123
09.12.2021

Пошаговое объяснение:

1)6-1 2\9  = 4 7/9

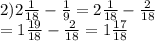
2)2 1\18-1\9  = 2 1/18 - 2/18 = 1 17/18

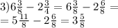
3)6 3\8-2 3\4  = 6 3/8 - 2 6/8 = 3 5/8

4)4 2\15-3 5\12 = 4 8/60 - 3 25/60 = 43/60

4,5(17 оценок)
Ответ:
maksy76750
maksy76750
09.12.2021
1)6 - 1 \frac{2}{9} = 5 \frac{9}{9} - 1 \frac{2}{9} = 4 \frac{7}{9}
2)2 \frac{1}{18} - \frac{1}{9} = 2 \frac{1}{18} - \frac{2}{18} \\ = 1 \frac{19}{18} - \frac{2}{18} = 1 \frac{17}{18}
3)6 \frac{3}{8} - 2 \frac{3}{4} = 6 \frac{3}{8 } - 2 \frac{6}{8} = \\ = 5 \frac{11}{8} - 2 \frac{6}{8} = 3 \frac{5}{8}
4)4 \frac{2}{15} - 3 \frac{5}{12} = 4 \frac{8}{60} - 3 \frac{25}{60} = \\ 3 \frac{68}{60} - 3 \frac{25}{60} = \frac{43}{60}
4,8(43 оценок)
Открыть все ответы
Ответ:
елена1136
елена1136
09.12.2021
Китай в глазах европейцев - сказочная,таинственная, загадочная страна... Более прозаично: наличие чая, прянностей, шелка, предметов роскоши (типа, фарфора) и проч. + любознательность человека, стремление доказать, что он может всё, в т.ч. и найти морской путь в Китай...)))  Пытались перенимать у европейцев их достижения в науке и технике. Китай - традиционная страна, а поэтому все реформы осушествлялись очень медлоенно и со скрипом. Кроме того, европейцы опережали Китай по уровню техники и науки... китайцы просто не смогли оказать сопротивление
4,5(29 оценок)
Ответ:
сюзи27
сюзи27
09.12.2021
Китай в глазах европейцев - сказочная,таинственная, загадочная страна... Более прозаично: наличие чая, прянностей, шелка, предметов роскоши (типа, фарфора) и проч. + любознательность человека, стремление доказать, что он может всё, в т.ч. и найти морской путь в Китай...)))  Пытались перенимать у европейцев их достижения в науке и технике. Китай - традиционная страна, а поэтому все реформы осушествлялись очень медлоенно и со скрипом. Кроме того, европейцы опережали Китай по уровню техники и науки... китайцы просто не смогли оказать сопротивление
4,5(74 оценок)
Это интересно:
Новые ответы от MOGZ: Математика
logo
Вход Регистрация
Что ты хочешь узнать?
Спроси Mozg
Открыть лучший ответ