М
Молодежь
К
Компьютеры-и-электроника
Д
Дом-и-сад
С
Стиль-и-уход-за-собой
П
Праздники-и-традиции
Т
Транспорт
П
Путешествия
С
Семейная-жизнь
Ф
Философия-и-религия
Б
Без категории
М
Мир-работы
Х
Хобби-и-рукоделие
И
Искусство-и-развлечения
В
Взаимоотношения
З
Здоровье
К
Кулинария-и-гостеприимство
Ф
Финансы-и-бизнес
П
Питомцы-и-животные
О
Образование
О
Образование-и-коммуникации
Сайка1111111
Сайка1111111
25.03.2023 20:52 •  Математика

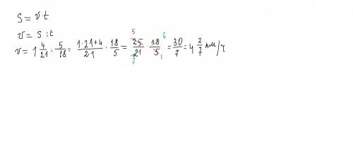
Скакой скоростью должен идти человек чтобы за 5/18 ч пройти 1 и 4/21 км? 6 класс

👇
Ответ:
Naati14pr
Naati14pr
25.03.2023

ответ:  он должен идти со скоростью   4 2\7 км\ч

4,7(70 оценок)
Ответ:
баклажан233
баклажан233
25.03.2023

ответ:4 2/7 км/..


Пошаговое объяснение

1 4/21 ÷ 5/18=25/21 × 18/5=5/21×18=5/7×6=30/7 км/ч



Скакой скоростью должен идти человек чтобы за 5/18 ч пройти 1 и 4/21 км? 6 класс
4,4(83 оценок)
Открыть все ответы
Ответ:
jane2284p08aoc
jane2284p08aoc
25.03.2023

Запятая переносится на количество 0.

Увеличение - вправо, уменьшение - влево.

1) увеличить в 100 раз (перенести запятую вправо на 2 позиции) и затем уменьшить в 1000 раз(перенести запятую влево на 3 позиции). Итог - влево 1 позиция.

2)уменьшить в 100 раз(перенести запятую влево на 2 позиции), а затем увеличить в 10000 раз(перенести запятую вправо на 4 позиции). Итог - вправо на 2 позиции.

3)увеличить в 1000 раз(перенести запятую вправо на 3 позиции) а затем уменьшить в 10 раз (перенести запятую влево на 1 позицию). Итог - вправо 2 позиции.

4,6(12 оценок)
Ответ:
Aleksa4nick
Aleksa4nick
25.03.2023

60 - наименьшее число конфет могло быть у Васи  изначально

Пошаговое объяснение:

Пусть у Васи изначально было 1 (одна целая часть) конфет, тогда:

1. 1/4 конфет он сразу съел

2. 1/5(1 - 1/4) = 1/5*3/4 = 3/20 конфет он отдал старшему брату

3. 1/6(1 - 1/4 - 3/20) = 1/6*3/5 = 3/30 = 1/10 конфет он отдал младшему брату

4. 1 - (1/4 + 3/20 + 1/10) = 1 - 1/2 = 1/2 - у Васи осталось конфет вдвое меньше, чем ему  подарили

Значит, наименьшее число конфет, которое могло быть у Васи,   в целых числах должно быть кратным 4, 5, 6 :

НОК (4; 5; 6) = 60 - наименьшее число конфет могло быть у Васи

изначально

60*1/4 = 15 конфет Вася съел сам

1/5(60-15) = 1/5*45 = 9 конфет он отдал старшему брату

1/6(60 - 15 - 9) = 1/6*36 = 6 конфет он отдал младшему брату

60 - (15+9+6) = 60 - 30 = 30 конфет осталось у Васи - вдвое меньше, чем ему  подарили

4,7(41 оценок)
Новые ответы от MOGZ: Математика
logo
Вход Регистрация
Что ты хочешь узнать?
Спроси Mozg
Открыть лучший ответ